Переменный ток
(Alternating Current) или АС английская аббревиатура обозначающая ток, который меняет на временном отрезке свое направление и величину. На электрических схемах и корпусах электрических аппаратов, работающих от переменного тока, символ переменного тока обозначают как отрезок синусоиды «
». Если говорить о переменном токе простыми словами , то можно сказать что в случае подключения электрической лампочки к сети переменного тока плюс и минус на ее контактах будут меняться местами с определенной частотой или иначе, ток будет менять свое направление с прямого на обратное. На рисунке обратное направление – это область графика ниже нуля.
Теперь давай разберемся, что такое частота. Частота это — период времени, в течение которого ток выполняет одно полное колебание, число полных колебаний за 1 с называется частотой тока и обозначается буквой f. Частота измеряется в герцах (Гц) . В промышленности и быту большинства стран используют переменный ток с частотой 50 Гц. Эта ве6личина показывает количество изменений направления тока за одну секунду на противоположное и возвращение в исходное состояние. Иными словами в электрической розетке, которая есть в каждом доме и куда мы включаем утюги и пылесосы, плюс с минусом на правой и левой клеммах розетки будет меняться местами с частотой 50 раз в секунду — это и есть, частота переменного тока. Для чего нужен такой “переменчивый “ переменный ток, почему не использовать только постоянный? Это сделано для того, чтобы получить возможность без особых потерь получать нужное напряжение в любом количестве способом применения трансформаторов. Использование переменного тока позволяет передавать электроэнергию в промышленных масштабах на значительные расстояния с минимальными потерями.
Напряжение, которое подается мощными генераторами электростанций, составляет порядка 330 000-220 000 Вольт. Такое напряжение нельзя подавать в дома и квартиры, это очень опасно и сложно с технической стороны. Поэтому переменный электрический ток с электростанций подается на электрические подстанции, где происходит трансформация с высокого напряжения на более низкое, которое мы используем.
Что такое постоянный ток?
Электрическим током называют движение заряженных частиц: в металлах — электронов, в электролитах — положительно и отрицательно заряженных ионов, в полупроводниках — электронов или дырок, в зависимости от типа проводимости. Количество заряда, пересекающего поперечное сечение проводника за единицу времени, называют силой тока и измеряют в амперах.
В постоянном токе заряженные частицы движутся в одном направлении и при этом сила тока либо не меняется, либо меняется столь медленно, что индуктивность и емкость цепи (см. ниже) никак себя не проявляют.
Если ток направления не меняет, но его сила быстро трансформируется от некоего минимального значения до максимального и обратно, говорят о пульсирующем постоянном токе. Обычно он получается в результате выпрямления тока переменного.
Плюсы и минусы
В самом упрощенном представлении (для чайников) разница между постоянным и переменным током состоит в возможности получения, накопления и пользования первого из второго. Таким способом идет подзарядка всех современных бытовых приборов – мобильника, ноутбука, бесперебойника котла и т. д.
Плюс постоянного тока – возможность аккумуляции от источника электроэнергииИсточник limitenergy.ru
Постоянный электроток обладает таким рядом преимуществ:
- Отсутствие реактивной мощности в цепи, более продуктивный расход энергии.
- Эффективная аккумуляция электроэнергии – с помощью АКБ и конденсаторов.
- Нет задержки или опережения в электроцепи.
Помимо плюсов имеются также некоторые недостатки:
- Возникновение искрения или замыкании при прерывании цепи – ввиду наличия постоянного напряжения. Это исключено в цепи переменного тока, так как отключение возможно в момент падения характеристики до нуля во время колебаний при смене полярности.
- Сложность повышения и понижения потенциала. Для подобного преобразования ток сначала требуется перевести в переменный, затем с заданными параметрами обратно в постоянный. Для этого потребуется дорогое оборудование.
- Усиление электрохимической коррозии при сопутствующих условиях, например, для элементов подземной коммуникации.
Зачастую бытовые приборы работают на постоянном электричестве. Подключаются они при этом от бытовой переменной сети, но в своей конструкции имеют специальный преобразователь для получения тока заданных характеристик.
Ноутбук и другая цифровая техника работает на постоянном токе, но подзаряжается через преобразователь от переменной электросетиИсточник m24.ru
Применение переменного электротока имеет такой ряд положительных особенностей:
- Возможность транспортировки электроэнергии на большие дистанции с минимальной потерей.
- Доступность преобразования параметров электротока в любом требуемом значении.
- Простота подключения электрооборудования – ввиду отсутствия полярности. Вилку в розетку можно воткнуть любой стороной, чего нельзя сделать в сети постоянного тока.
- Безопасное прерывание электропитания.
Недостатки переменной электросети проявляются в следующем:
- Возникновение реактивной мощности, из-за чего возрастает расход энергии.
- Поверхностное вытеснение заряда в проводнике, что снижает полезную площадь сечения, увеличивает сопротивление и приводит к потерям мощности.
- Необходимость повышения напряжения на линиях электропередач, длиной свыше 500 км.
Видео-урок о том, чем отличается постоянный ток от переменного:
Применение
Электрический ток называется постоянным, прежде всего, ввиду стабильности полярности, отсутствия перепадов и импульсов. Это свойство позволяет использовать его в различных микросхемах для обеспечения работы электроники и точной техники.
Помимо этого, электричество с таким набором характеристик нашло широкое применения в других областях:
- Электромоторы транспортных средств, подъемников.
- Портативные АКБ бытовых устройств.
- Электролитические промышленные установки.
- Электродуговая и газовая сварка.
- Бортовые электросети.
- Медицинские технологии по внедрению лекарственных препаратов.
- Научно-исследовательские направления.
Переменный электроток находит применение преимущественно в бытовых и промышленных сетях – для подвода электроэнергии к домам, цехам, торговым центрам, больницам и проч. Мощные производственные установки, двигателя, как правило, питаются такой разновидностью электричества.
Видео о том, какой ток лучше – постоянный или переменный:
Коротко о главном
Электроток представляет собой направленное движение электронов и ионов. Движущей силой им служит разность потенциалов. Применяется электричество практически везде – от моторов до микросхем.
Разделяется электрический ток на переменный и постоянный. Различаются они прежде всего тем, что полярность последнего неизменна, а первого – меняется с определенной частотой. На схемах значок постоянного тока выглядит как прямая линия или буквами DC, переменного – волнистая черта или AC.
Источники электротока классифицируются на такие виды:
- Механические. Генераторы ГЭС, ТЭС, автономные.
- Термические. На основе термопар.
- Световые. Солнечные батареи.
- Химические. АКБ, гальванические элементы.
Краткая история электричества
Кто изобрел электричество? А никто! Люди постепенно понимали, что это такое и как им пользоваться.
Все началось в 7 веке до нашей эры, в один солнечный (а может и дождливый, кто знает) день. Тогда греческий философ Фалес заметил, что, если потереть янтарь о шерсть, он будет притягивать легкие предметы.
Потом были Александр Македонский, войны, христианство, падение Римской империи, войны, падение Византии, войны, средневековье, крестовые походы, эпидемии, инквизиция и снова войны. Как вы поняли, людям было не до какого-то там электричества и натертых шерстью эбонитовых палочек.
В каком году изобрели слово «электричество»? 1600 году английский естествоиспытатель Уильям Гилберт решил написать труд «О магните, магнитных телах и о большом магните — Земле». Именно тогда и появился термин «электричество».
Через сто пятьдесят лет, в 1747 году Бенджамин Франклин, которого мы все очень любим, создал первую теорию электричества. Он рассматривал это явление как флюид или нематериальную жидкость.
Именно Франклин ввел понятие положительного и отрицательного зарядов (до этого разделяли стеклянное и смоляное электричество), изобрел молниеотвод и доказал, что молния имеет электрическую природу.
Бенджамина любят все, ведь его портрет есть на каждой стодолларовой купюре. Помимо работы в точных науках, он был видным политическим деятелем. Но вопреки распространенному заблуждению, Франклин не был президентом США.
Дальше пойдет перечисление важных для истории электричества открытий.
1785 год – Кулон выясняет, с какой силой противоположные заряды притягиваются, а одноименные отталкиваются.
1791 год – Луиджи Гальвани случайно заметил, что лапки мертвой лягушки сокращаются под действием электричества.
Принцип работы батарейки основан на гальванических элементах. Но кто создал первый гальванический элемент? Основываясь на открытии Гальвани, другой итальянский физик Алессандро Вольта в 1800 году создает столб Вольта – прототип современной батарейки.
На раскопках рядом с Багдадом нашли батарейку возрастом больше двух тысяч лет. Какой древний айфон с ее помощью подзаряжали – остается загадкой. Зато известно точно, что батарейка уже «села». Этот случай как бы говорит: может быть, люди знали об электричестве намного раньше, но потом что-то пошло не так.
Уже в 19 веке Эрстед, Ампер, Ом, Томсон и Максвелл совершили настоящую революцию. Был открыт электромагнетизм, ЭДС индукции, электрические и магнитные явления связали в единую систему и описали фундаментальными уравнениями.
Кстати! Если у вас нет времени, чтобы самостоятельно разбираться со всем этим, для наших читателей сейчас действует скидка 10% на любой вид работы
20 век принес квантовую электродинамику и теорию слабых взаимодействий, а также электромобили и повсеместные линии электропередач. Кстати, знаменитый электромобиль Тесла работает на постоянном токе.
Конечно, это очень краткая история электричества, и мы не упомянули очень много имен, которые повлияли на прогресс в этой области. Иначе пришлось бы написать целый многотомный справочник.
Постоянный ток
Direct Current или DC так по-английски обозначают электрический ток который на протяжении любого отрезка времени не меняет направление движения и всегда движется от плюса к минусу. На схеме обозначается как плюс (+) и минус (-), на корпусе прибора, работающего от постоянного тока наносят обозначение в виде одной (-) или (=) полос. Важная особенность постоянного электрического тока — это возможность его аккумулирования, т.е. накопления в аккумуляторах или получения его за счет химической реакции в батарейках. Множество современных переносных электрических устройств, работают, используя накопленный электрический заряд постоянного тока, который находится в аккумуляторах или батарейках этих самых устройств.
Электрический ток – что это такое, виды, характеристики
Направленное движение частиц с зарядом под действием электромагнитного поля называется электрическим током. В металлических и газовых проводниках носителями электрозаряда выступают электроны, а в жидких средах – положительно и отрицательно заряженные ионы. Электродвижущая сила используется повсеместно и разнообразно – от электродвигателя и радиатора отопления до электромагнитных колебаний и микросхем.
Главной движущей силой электричества служит разность потенциалов – величин разноименных зарядов между полюсами. Чем больше его значение, тем сильнее ток. Именуется оно напряжением, отображается в вольтах.
Напряжение неразрывно связано с другими характеристиками электричества – силой тока и сопротивлением. Величины связаны между собой незыблемой закономерностью – формулой Ома.
Электрический ток определяется, как направленное перемещение заряженных частиц в проводникеИсточник oblepiha.education
С точки зрения характера распространения заряженных частиц и стабильности полярности электрический ток делится на 2 вида:
Постоянный.
Разность потенциалов между контактами создает на одном краю плюсовую полярность, на другом – минусовую. Положение остается стабильным все время – пока сохраняется такая последовательность подключения. При этом направление потока заряженных частиц не меняется.
На схемах и чертежах постоянный ток имеет обозначение в виде прямой черты или DC, а переменный волнистой линией или AC. Применение данной разновидности электротока оправдано, когда требуется передать энергию на минимальное расстояние и мощность не является первоочередным критерием.
Переменный.
В отличие от постоянного электротока переменный характеризуется сменой полярности с определенной частотой. Например, в привычной бытовой сети такие изменения происходят 50 раз в секунду. В электротехнической терминологии это выражается, как частота 50 Гц.
Розетки бытовой сети поставляют в дом переменный ток 220 В с частотой 50 ГцИсточник masterabetona.ru
Передача переменного тока не ограничивается расстоянием, мощностью и большими потерями. Это позволяет использовать его в линиях электропередач. Кроме того, 3-х-фазная сеть удобна для подключения электромоторов.
При сравнении рассматриваемых 2-х видов электротока по главным свойствам проявляются следующие особенности:
- Направление заряженных частиц у переменного тока изменяется в определенный временной отрезок.
- Контакты постоянного тока имеют разную полярность – «+» и «-», выводы переменного – это ноль и фаза.
- Сетевое электричество вырабатывается генераторной установкой, постоянный ток поступает из АКБ, элемента питания или трансформатора.
- Оба вида тока можно получить путем преобразования одного в другой.
В мобильном телефоне используется источник постоянного электротокаИсточник ria.ru
Определение
Электрическим током называется направленное движение заряженных частиц. Так звучит определение из учебника по физике. Простыми словами можно перевести так, что у его составляющих всегда есть какое-то направление. Собственно, это направление и является определяющем в сегодняшнем разговоре.
Переменный ток (Alternative Current – AC) отличается от постоянного (Direct Current – DC) тем, что у последнего электроны (носители заряда) всегда движутся в одном направлении. Соответственно отличием переменного тока является то, что направление движения и его сила зависят от времени. Например, в розетке направление и величина напряжения, соответственно и сила тока, изменяется по синусоидальному закону с частотой в 50 Гц (50 раз за секунду изменяется полярность между проводами).
Для так сказать чайников в электрике изобразим это на графике, где по вертикальной оси изображена полярность и напряжение, а по горизонтальной время:

Красной линией изображено постоянное напряжение, оно остаётся неизменным с течением времени, разве что изменяется при коммутации мощной нагрузки или КЗ. Зелеными волнами показан синусоидальный ток. Вы можете видеть, что он протекает то в одну, то в другую сторону, в отличие от постоянного тока, где электроны всегда протекают от минуса к плюсу, а направлением движения электрического тока выбран путь от плюса к минусу.
Если сказать по-простому, то разницей в этих двух примерах является то, что у постоянки всегда плюс и минус находятся на одних и тех же проводах. Если говорить о переменном, то в электроснабжении используют понятия фазы и нуля. Если рассматривать по аналогии с постоянкой, то фаза и ноль являются плюсом и минусом, только полярность меняется 50 раз в секунду (в США и ряде других стран 60 раз в секунду, а в самолётах более 400 раз).
Что отличает силу тока от напряжения?
Осмелимся предположить, что в качестве основной разницы между двумя этими понятиями является их непосредственное определением:
- Под словами «сила тока» и «ток», в частности, представляют некое количество электричества, в то время, как напряжением принято считать меру потенциальной энергии. Простыми словами, два эти понятия достаточно сильно зависят друг от друга, сохраняя некоторые отличительные особенности, при всем этом. На их сопротивление влияет огромное количество самых разнообразных факторов. Важнейшим из них, является материал, из которого выполнен тот или иной проводник, внешние условия, а также температура.
- Некая разница предусмотрена также и в их получение. Так, если воздействие на электрические заряды, создает напряжение, то ток получается уже путем прикладывания напряжения между точками схемы. Кстати говоря, в качестве таковых приборов, могут выступать обыкновенные батареи или более продвинутые и удобные генераторы. По этой причине мы и можем говорить о том, что основные отличия двух этих понятий, сводятся к их определению, а также тому, что получаются они в результате совершенно разных процессов.
Конечно, в том случае, если в розетку вы не будете подключать никаких электроприборов, напряжение будет оставаться неизменным, в то самое время, как ток будет равняться нулю. Ну а если не будет предусмотрено расхода, то какая вообще может идти речь о токе и какой-либо его силе? По этому, ток — это всего лишь некое количество электричества, в то время, как напряжением считается мера потенциальной энергии определенного источника электричества.
Интересное видео, где подробно объясняется разница между током и напряжением:
Что такое напряжение, и сила тока?
Сегодня речь пойдет о самых базовых понятиях силы тока, напряжения, без общего понимания которых невозможно построение любого электротехнического устройства.
Итак, что же такое напряжение?
Попросту говоря напряжение — разница потенциала между двумя точками электрической цепи, измеряется в Вольтах. Стоит заметить что, напряжение всегда измеряется между двумя точками! То есть, когда говорят что напряжение на ножке контроллера 3 Вольта, подразумевается что разница потенциалов между ножкой контроллера и землей те самые 3 Вольта.
Земля(Масса, Ноль) — это точка электрической схемы с потенциалом 0 Вольт. Однако стоит заметить, что напряжение не всегда измеряется относительно земли. Например, замерив напряжение между двумя выводами контроллера, мы получим разницу электрических потенциалов данных точек схемы. То есть если на одной ножке 3 Вольта(То есть данная точка обладает потенциалом 3 Вольта относительно земли), а на второй 5Вольт(Опять же потенциал относительно земли), мы получим значение напряжения равное 2 вольтам, что равняется разнице потенциалов между точками 5 и 3 Вольта.
Из понятия напряжение вытекает следующее понятие — электрический ток. Из курса общей физики мы помним, что электрический ток есть направленное движение заряженных частиц по проводнику, измеряется в Амперах. Заряженные частицы движутся благодаря разнице потенциалов между точками. Принято считать, что ток происходит из точки с большим зарядом, в точку, обладающую меньшим зарядом. То есть, именно напряжение (разность потенциалов) создает условия протекания тока. При отсутствии напряжения — невозможен ток, то есть между точками с равным потенциалом ток отсутствует.
На своем пути, ток встречает препятствие в виде сопротивления, что препятствует его протеканию. Сопротивление измеряется в Омах. Подробнее о нем мы поговорим в следующем уроке. Однако, между током, напряжением и сопротивлением уже давно выведена следующая зависимость:
Где I — Сила тока в Амперах, U — Напряжение в Вольтах, R — Сопротивление в Омах.
Данное соотношение называется законом Ома. Так же справедливы следующие выводы из закона Ома:
На этом всё, в следующем уроке поговорим о сопротивлении.
Любое копирование, воспроизведение, цитирование материала, или его частей разрешено только с письменного согласия администрации MKPROG . RU . Незаконное копирование, цитирование, воспроизведение преследуется по закону!
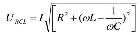
Формулы для расчета переменного тока
В расчётах цепей переменного тока разница в формулах обусловлена отличием процессов, протекающих в емкостях и индуктивностях. Тогда формула закона Ома будет для активного сопротивления:
Здесь 1/wC и wL – емкостное и индуктивное реактивные сопротивления, а w – угловая частота, она равна 2пиF.
Для цепи с ёмкостью и индуктивностью:

wL-1/wC – это реактивное сопротивление, оно обозначается как Z.
На видео ниже более подробно рассказывается, в чем отличие переменного тока от постоянного:
Материалы по теме:
- Как повысить постоянное и переменное напряжение
- Что такое активная, реактивная и полная мощность
- Что такое линейное и фазное напряжение
Шрифт конвертера безопасности
Обычно электронное оборудование, такое как сотовые телефоны или ноутбуки, имеет свои собственные источники, но другому оборудованию, такому как электронные защитные устройства, нужны запасные источники, которые преобразуют переменный ток из розетки в постоянный ток.
Чтобы решить эту проблему, Security представила преобразователь Бастион, который выходит за рамки преобразования переменного тока в постоянный ток. Думая о проблеме потери эффективности переменного тока, источник преобразователя преобразует переменный ток в постоянный 24 вольт, который может перемещаться на большее расстояние, а затем уменьшается через редуктор мощности до 12 вольт, который является правильным напряжением для питания самого большого часть электронного охранного оборудования.
Происхождение
Разница между AC и DC заключается в их происхождении. Постоянный ток можно получить из гальванических элементов, например, батареек и аккумуляторов.

Также его можно получить с помощью динамомашины – это устаревшее название генератора постоянного тока. Кстати с их помощью генерировалась энергия для первых электросетей. Мы об этом говорили в статье об открытиях Николы Тесла, в заметках о войне идей между Теслой и Эдисоном. Позже так называли небольшие генераторы для питания велосипедных фар.

Переменный ток добывают также с помощью генераторов, в наше время в основном трёхфазных.
Также и то и другое напряжение можно получить с помощью полупроводниковых преобразователей и выпрямителей. Так вы можете выпрямить переменный ток или получить его же, преобразовав постоянный.

Способы определения силы тока
Вычисляется сила тока на практике с задействованием специальных измерительных приборов либо посредством отдельных формул (при условии наличия исходных данных). Основной формулой, согласно которой рассчитывается сила тока, выглядит следующим образом:
$I=\frac{q}{t}$
Существование электричества может быть постоянным (например, содержащийся в батарейке ток), а также переменным (ток в розетке). Освещение помещений и работа всех приборов электрического типа происходит именно посредством воздействия переменного электричества. Основным отличием переменного тока от постоянного выступает его более сильная склонность к трансформации.
Наглядным примером действия переменного тока может также послужить эффект включения люминесцентных ламп. Так в процессе включения такой лампы начинает осуществляться движение заряженных частиц то вперед, то назад, что объясняет действие переменного тока. Именно данный вид электричества считается наиболее распространенным в быту. Соответственно закону Ома, силу тока рассчитывают по формуле (для участка электроцепи):
$I=\frac{U}{R}$
Сила тока, таким образом, оказывается прямо пропорциональна напряжению $U$, измеряемому в Вольтах, к участку цепи и обратно пропорциональной $R$-сопротивлению проводника указанного участка, выражаемому в Омах. Расчет силы электричества в полной цепи рассчитан таким образом:
$I=\frac{E}{R+r}$, где:
- $Е$ — электродвижущая сила, ЭДС, Вольт;
- $R$ — внешнее сопротивление, Ом;
- $r$ — внутреннее сопротивление, Ом.
Основными способами определения силы тока посредством систем приборов на практике являются следующие:
- Магнитоэлектрический измерительный метод. Его преимуществами выступают высокая чувствительность и точность показаний при незначительном энергопотреблении. Указанный способ применим исключительно при определении величины силы постоянного тока.
- Электромагнитный способ заключается в нахождении силы токов переменного и постоянного типов путем процесса трансформации из электромагнитного поля в сигнал магнитного модульного датчика.
- Косвенный метод направлен на определение за счет вольтметра напряжения при определенном сопротивлении.
Замечание 2
С целью нахождения силы тока, на практике зачастую применяется специальный прибор амперметр. Такое устройство включается в разрывы электроцепи в требуемой точке измерения силы электрозаряда, прошедшего за некоторое время через сечение провода.
При определении величины силы малого электричества применяют миллиамперметры, микроамперметры, а также гальванометры, также подключаемые к определенному месту в цепи, где необходимо найти силу тока. Подключение может быть выполнено двумя способами:
- последовательным;
- параллельным.
Определение силы тока, который потребляется, считается не так часто востребованным, как измерение напряжения или сопротивления. В то же время, без вычисления физической величины силы тока становится невозможным расчет потребляемой мощности.




























