Электрическая цепь с постоянным током
В электрической цепи постоянного тока электродвижущая сила, которая направлена внутрь источника электроэнергии от отрицательного полюса к положительному, возбуждает электрический ток такого же направления. Его можно определить по закону Ома для всей цепи:
$I = \frac {E}{R + R_{BT}}$, где:
- $R$ – это сопротивление внешней цепи, которая состоит из соединительных проводов и приемника;
- $ R_{BT} $ – сопротивление внутренней цепи, которая состоит из источника электрической энергии.
Определение 1
Если все элементы электрической цепи и их сопротивления не зависят от направления и значения тока и электродвижущей силы, то такие элементы называют линейными.
Стоит отметить, что в одноконтурной постоянной электрической цепи, что имеет один источник электрической энергии, ток прямо пропорционален электродвижущей силе и обратно пропорционален сопротивлению цепи.
Из этого следует, что $E-R_{BT} L = RI$, откуда:
$I = \frac {(E – R_{BT} l)}{R}$ или $I = \frac {U}{R} $, где:
$U = E – R_{BT} l$ – это напряжение источника электроэнергии, которое направляется от положительного полюса к отрицательному.
При неизменной электродвижущей силе, напряжение зависит только от электрического тока, который определяет падение напряжения $ R_{BT} l$ внутри источника электроэнергии, но только в том случае, если сопротивление внутренней электрической цепи $ R_{BT} = const $.
Выражение $I = \frac {U}{R} $ – это закон Ома для участка электрической цепи, к зажимам которого приложено напряжение $U$, что совпадает с электрическим током $I $ этого же участка цепи.
Зависимость напряжения от электрического тока $U (I)$ при $E – const$ и $ R_{BT} = const $ называется внешней (вольтамперной характеристикой линейного источника электроэнергии). По данной характеристике можно определить соответствующее напряжение для любого тока, а по формулам, что приведены ниже, – рассчитать мощность приемника электроэнергии:
$P_2 = RI^2 = \frac {E2R}{(R + R_{BT} )^2}$
Мощность источника электроэнергии:
$P_1 = (R + R_{BT} ) I^2 = \frac {E^2}{R + R_{BT} }$
КПД установки в цепи постоянного тока:
$\eta = \frac {P_2}{P_1} = \frac {R}{R + R_{BT} } = \frac {1}{ 1 +\frac {R_{BT} }{R}} $
Точка Х вольтамперной характеристики источника электроэнергии соответствует режиму холостого хода при разомкнутой электрической цепи. В таком случае электрический ток $l_X = 0$, а напряжение $U_X = E$.
Точка К необходима для того, чтобы охарактеризовать режим короткого замыкания, который возникает при соединении зажимов источников электроэнергии. Внешнее сопротивление приравнивается нулю $R=0$. В этом случае формируется электрический ток короткого замыкания $I_K = \frac {E}{R_{BT} }$, который в несколько раз превышает номинальный ток $I_HOM$. Это случается по причине того, что внутреннее сопротивление источника электроэнергии $R_{BT}
Точка С соответствует согласованному режиму, при котором сопротивление внешней электрической цепи приравнивается сопротивлению внутренней цепи $ R_{BT} $ источника электроэнергии. В таком режиме формируется электрический ток $I_c = \frac {E}{2R_{BT} }$ внешней цепи и отвечает наибольшей мощности $R2_max = \frac {E2}{4R_{BT} }$. Коэффициент полезного действия в таком случае приравнивается нулю: $\eta c = 0$.
Учитывая все вышеизложенное, согласован режим, при котором:
$\frac {P2}{P2_max} = \frac {4R^2}{(R + R_{BT} )^2} = 1$ и $I_c = \frac {E}{2R} = 1$
Режимы электрических цепей в электроэнергетических установках значительно отличаются от согласованного режима и характеризуются токами, которые обуславливают сопротивление приемников $R$ и $ R_{BT} $. В результате этого работа систем на высоком КПД.
Изучение явлений, которые протекают в электрических цепях, упрощается, если происходит их замена на схемы замещения. Эти схемы представлены в виде математических моделей с идеальными элементами. Данные схемы подробно отображают свойства электрической цепи и при соблюдении конкретных условий делают анализ электрического состояния цепей значительно проще.
Почему в сети переменное напряжение
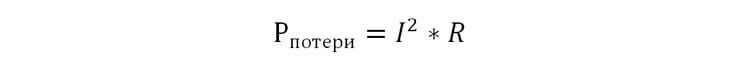
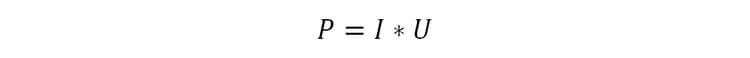
Передача энергии от источника к потребителю связана с потерями мощности.
Мощность – так называемая переменная величина, и её можно определить поскольку она зависит от силы тока и равна:

то есть чем меньше сила тока, тем меньше потери мощности при транспортировке. Однако производитель не может произвольно уменьшать силу тока без компенсации, ведь потребителю необходимо доставить нужный объём мощности для бытовых нужд. Чтобы сохранить небольшую силу тока (I) и высокую мощность (Р), нужен значительный скачок напряжения сети (U) в соответствии с формулой мощности:

Благодаря этим зависимостям величины мощности от силы тока человечество получило возможность существенно сократить потери мощности электроэнергии при передаче на большие расстояния путём повышения напряжения сети.
Однако возникает существенная проблема: высокое напряжение нужно как-то снизить, чтобы раздать потребителю электроэнергии из обычной розетки дома.
Электромагнитное поле высоковольтных линий возбуждает в трансформаторных катушках индуктивности более низкое переменное напряжение, которое мы уже используем в бытовых целях.
Именно благодаря возможности легко управлять переменным напряжением для передачи электрической энергии на большое расстояние была выбрана такая схема.
Параметры домашней электрической сети
После выяснения того, что ток в розетке наших домов переменный, необходимо знать его главные параметры, которым относятся величина напряжения, и частота. Напряжение домашних электрических сетей составляет 220в. Весь мир пользуется электричеством с частотой 50 Герц, за исключением США, где этот параметр имеет значение 60 Гц.
По проводу фактических значений напряжения и частоты необходимо знать:
- Частота 50 Гц задается генерирующим устройством электростанции и всегда соответствует заданному значению.
- Напряжение в отдельно взятом доме или квартире может отличаться от номинального значения 220 В. На это могут оказывать влияние техническое состояние, величина и распределение нагрузки сети, питающей многоквартирный дом или жилой район, степень загруженности ее трансформаторной подстанции. Эти отклонения, могут быть весьма значительными и достигать 20-25 Вольт. В этом случае целесообразно подключение домашней электросети производить через стабилизатор напряжения.
Токовая нагрузка
Каждая электрическая розетка снабжена маркировкой, ограничивающей ее токовую нагрузку. К примеру, «5 А» означает, что сила тока, возникающая в результате работы подключенного потребителя, не должна превышать 5 Ампер
Это очень важно, ибо невыполнение данных условий может преждевременно вывести из строя розетку или же вызвать ее возгорание
Маркировки на розетках
Электрические приборы, выпускаемые промышленностью, снабжены паспортом с указанием потребляемой мощности, или же номинальной токовой нагрузки. К наиболее энергоемким бытовым потребителям относятся СВЧ-печи, сплит системы, автоматизированные стиральные машины, электрические кухонные плиты и духовые шкафы, подключение данных приборов необходимо производить к розеткам, обеспечивающим работу с нагрузкой не менее 16 Ампер.
Как быть, если некоторые электротехнические изделия снабжены только данными о мощности, а сведений о потребляемых амперах изготовитель не указывает. Определить приблизительные величины токовых значений очень просто при помощи формулы электрической мощности
W = U x I
Где W – мощность, U – напряжение, I – сила тока.
Мощность (указана в паспорте) и напряжение сети известны, для того чтобы найти потребляемый ток, необходимо значение мощности в Ваттах (не в килоВаттах) разделить на величину напряжения 220в.
В чём разница переменного и постоянного тока
Общее понятие электрического тока можно выразить как движение различных заряженных частиц (электронов, ионов) в некотором направлении. А его величину охарактеризовать числом заряженных частиц, которые прошли через проводник за определенный промежуток времени.

Если величина заряженных частиц в 1 кулон проходит через определенное сечение проводника за время в 1 секунду, тогда можно говорить о силе тока в 1 ампер протекающего через проводник. Таким образом определяется количество ампер или сила тока. Это общее понятие тока. А теперь рассмотрим понятие переменного и постоянного тока и их различие.
Постоянный электрический ток по определению — это ток, который течёт только в одном направлением и не меняет его со временем. Переменный ток характерен тем, что меняет свое направление и величину со временем. Если графически постоянный ток отображается как прямая линия, то переменный ток течет по проводнику по закону синуса и графически отображается как синусоида.
Графическое изображение постоянного тока
Так как переменный ток меняется по закону синусоиды, то он имеет такие параметры как период полного цикла, время которого обозначается буквой Т. Частота переменного тока обратна периоду полного цикла. Частота переменного тока выражается числом полных периодов в определенный промежуток времени (1 сек).
Графическое изображение переменного тока
Таких периодов в нашей электросети переменного тока равно 50, что соответствует частоте 50 Гц. F = 1/Т, где период для 50 Гц равен 0,02 сек. F =1/0,02 = 50 Гц. Обозначается переменный ток английскими буквами AC и знаком «~». Постоянный ток имеет обозначение DC и значок «-». Кроме того переменный ток может быть однофазным или многофазным. В основном используется трехфазная сеть.
Обобщенные определения
Физический процесс, при котором заряженные частицы движутся упорядоченно (направленно), называется электротоком. Его принято разделять на переменный и постоянный. У первого направление и величина остаются неизменными, а у второго эти характеристики меняются по определенной закономерности.
Приведенные определения сильно упрощены, хотя и объясняют разницу между постоянным и переменным электротоком. Для лучшего понимания, в чем заключается это различие, необходимо привести графическое изображение каждого из них, а также объяснить, как образуется переменная электродвижущая сила в источнике. Для этого обратимся к электротехнике, точнее ее теоретическим основам.
Примеры использования переменного и постоянного тока
Приблизительно постоянным считается ток разряда автомобильного аккумулятора. Напряжение здесь постепенно падает, а потому даже при одинаковой нагрузке эффект разнится хронометрически. В целом, происходит это плавно. Ток течёт в одном направлении и проявляет приблизительно постоянную плотность. Аналогично работают:
- Аккумулятор сотового телефона.
- Батарейка любого типа.
- Аккумулятор питания ноутбуков.
В природе источников постоянного тока (генераторов), за исключением матушки-Земли, нет. Человеку гораздо удобнее создавать роторы, которые, вращаясь с конкретной частотой, создают условия для образования в катушках статора переменного электрического тока. Потом промышленная частота 50 Гц проходит по проводам и через подстанцию подаётся на потребителя.
Это касается и переменного, и постоянного тока. Теперь пришла пора сказать, что в промышленности преобразование постоянного тока в переменный и обратно не практикуется. Из соображений экономии двигатели работают от трёх фаз. Каждая считается переменным током частоты 50 Гц. Говорили выше, что у любой гармоники присутствует фаза. В рассматриваемом случае фаза равна 120 градусов. А круг образуется за счёт 360 градусов. Получается, что три фазы равно отстоят друг от друга. При подобном раскладе генераторам ГЭС легче производить энергию, поступающую в дома в неизменном виде. Но в квартиру заходит единственная фаза переменного тока.
Поэтому бытовые приборы по внутреннему устройству сильно отличаются от промышленных. Важными признаются параметры переменного тока. В любом государстве они стандартизированы и чётко выдерживаются. К параметрам переменного тока относят:
- Действующее значение напряжения — вызывающее в обычном проводнике постоянное идентичного номинала. Действующее значение ниже амплитуды в корень из двух раз либо близко к указанному. Требования для РФ составляют 220-230 В плюс-минус 10% от номинала.
- К частоте переменного тока предъявляются повышенные строгие требования. Предел отклонений от 50 Гц измеряется десятыми долями процента. Потому стабилизации движения вала на ГЭС уделяется столько внимания. От скорости его вращения зависит параметр.
- Нелинейные искажения считаются отдельной темой. Требований множество, определиться непросто. Особенно строго нормируются гармоники основной частоты, к примеру: 100, 150, 200, 250 Гц.
Подобные требования предъявляются и к параметрам постоянного тока. Допустим, известные автомобильные аккумуляторы в действительности включают в арсенал не 12, а 14 В. По мере разряда вольтаж падает. Если на аккумуляторе зарегистрировано напряжение 11,9 В, банка считается вышедшей из строя. Предлагаем внимательно читать инструкции. Дополним: в отдельных ноутбуках присутствует заряд бережного расхода энергии аккумулятора. В этом случае уровень поддерживается в рамках двух третей от полного. Считается, что тогда батарея прослужит дольше.
Итак, требования направлены на поддержание долгого и правильного функционирования оборудования. Параметры постоянного и переменного тока считаются фактором, определяющим надёжность и работоспособность системы.
Представить жилище современного человека без электрических розеток невозможно. И поэтому многие хотят знать больше о силе, несущей цивилизации тепло и свет, заставляющей работать все наши электроприборы. И начинают с вопроса: какой ток в нашей розетке, постоянный или переменный? И какой из них лучше? Чтобы ответить на вопрос, какой ток в розетке и чем обусловлен этот выбор, выясним, чем они отличаются.
Векторная математика
Ток и напряжение не только постоянно меняются – их фазы не совпадают (они несинхронизированные). Подавляющее большинство силовых нагрузок переменного тока вызывает разность фаз. Это означает, что даже для самых простых вычислений нужно применять векторную математику. При работе с векторами невозможно просто складывать, вычитать или выполнять любые другие операции скалярной математики. При постоянном токе, если по одному кабелю в некоторую точку поступает 5A, а по другому – 2A, то результат равен 7A. В случае переменного это не так, потому что итог будет зависеть от направления векторов.
Электрический ток – что это такое, виды, характеристики
Направленное движение частиц с зарядом под действием электромагнитного поля называется электрическим током. В металлических и газовых проводниках носителями электрозаряда выступают электроны, а в жидких средах – положительно и отрицательно заряженные ионы. Электродвижущая сила используется повсеместно и разнообразно – от электродвигателя и радиатора отопления до электромагнитных колебаний и микросхем.
Главной движущей силой электричества служит разность потенциалов – величин разноименных зарядов между полюсами. Чем больше его значение, тем сильнее ток. Именуется оно напряжением, отображается в вольтах.
Напряжение неразрывно связано с другими характеристиками электричества – силой тока и сопротивлением. Величины связаны между собой незыблемой закономерностью – формулой Ома.
Электрический ток определяется, как направленное перемещение заряженных частиц в проводникеИсточник oblepiha.education
С точки зрения характера распространения заряженных частиц и стабильности полярности электрический ток делится на 2 вида:
Постоянный.
Разность потенциалов между контактами создает на одном краю плюсовую полярность, на другом – минусовую. Положение остается стабильным все время – пока сохраняется такая последовательность подключения. При этом направление потока заряженных частиц не меняется.
На схемах и чертежах постоянный ток имеет обозначение в виде прямой черты или DC, а переменный волнистой линией или AC. Применение данной разновидности электротока оправдано, когда требуется передать энергию на минимальное расстояние и мощность не является первоочередным критерием.
Переменный.
В отличие от постоянного электротока переменный характеризуется сменой полярности с определенной частотой. Например, в привычной бытовой сети такие изменения происходят 50 раз в секунду. В электротехнической терминологии это выражается, как частота 50 Гц.
Розетки бытовой сети поставляют в дом переменный ток 220 В с частотой 50 ГцИсточник masterabetona.ru
Передача переменного тока не ограничивается расстоянием, мощностью и большими потерями. Это позволяет использовать его в линиях электропередач. Кроме того, 3-х-фазная сеть удобна для подключения электромоторов.
При сравнении рассматриваемых 2-х видов электротока по главным свойствам проявляются следующие особенности:
- Направление заряженных частиц у переменного тока изменяется в определенный временной отрезок.
- Контакты постоянного тока имеют разную полярность – «+» и «-», выводы переменного – это ноль и фаза.
- Сетевое электричество вырабатывается генераторной установкой, постоянный ток поступает из АКБ, элемента питания или трансформатора.
- Оба вида тока можно получить путем преобразования одного в другой.
В мобильном телефоне используется источник постоянного электротокаИсточник ria.ru
Что такое переменный ток и переменное напряжение?
Ноябрь 15th, 2010 Айрат
Что такое переменный ток и переменное напряжение?
Ток бывает двух основных видов — постоянный и переменный. Чтобы разобраться с этими терминами, необходимо вспомнить, что ток — это упорядоченное движение электронов. И вот когда эти электроны все время движутся в одном и том же направлении, то такой ток называется постоянным. Но под понятием упорядоченное движение следует также понимать то что в один момент электроны движутся в одном направлении а во второй момент — в обратном и так без остановки. Вот такой ток уже называется переменным. Если говорят о постоянном и переменном напряжении, то имеется в виду что у постоянного напряжения + и — всегда «находятся на одном месте».
Примером постоянного напряжения может послужить обыкновенная батарейка, на её корпусе вы всегда найдете обозначения + и -. А у переменного + и — меняются через некоторой отрезок времени. Следственно постоянное напряжение создает постоянный ток. и соответственно переменное напряжение — переменный ток. Примером переменного напряжения может послужить обыкновенная электросеть. Постоянный ток обозначается одной прямой линией, а переменный одной волнистой линией.
Я думаю, вам не раз приходилось видеть надписи 220В, перед которой стоит горизонтальная волнистая линия. Это и есть обозначение переменного тока.
Обратите внимание на то, что устройства, в который используется постоянный ток, в подавляющем количестве, не допускают чтобы при подключения к ним питания контакты + и — перепутались между собой, поскольку если их перепутать то прибор может попросту «сгореть»
А вот для переменного напряжения это уже не актуально, припустим, вы включаете в розетку… да что угодно, и не важно какой именно стороной вставить вилку в розетку, прибор все ровно будет работать. Наверняка, вам также приходилось возле надписей 220В замечать и надпись на подобие 50Гц
Это частота переменного тока. И означает она, сколько раз в секунду меняется «плюс с минусом» местами. Надпись 50Гц (Герц) означает, что за одну секунду полярность напряжения меняется 50 раз
Наверняка, вам также приходилось возле надписей 220В замечать и надпись на подобие 50Гц. Это частота переменного тока. И означает она, сколько раз в секунду меняется «плюс с минусом» местами. Надпись 50Гц (Герц) означает, что за одну секунду полярность напряжения меняется 50 раз.
Для того чтобы представить, как именно происходит изменение полярности переменного напряжения необходимо разбираться в графиках, которые показывают напряжение в разные моменты времени. Давайте посмотрим на график, демонстрирующий постоянное напряжение (он слева). Припустим, что этот график показывает напряжение на контактах лампочки фонарика.
Начиная с точки 0 и до точки «а» график показывает, что напряжение равно нулю. Или другими словами говоря его там вообще нет (фонарик выключен). В момент времени «а» (в нашем варианте на контактах лампочки) появляется напряжение равное U1, которое остается без изменений в течении времени от «а» до «б» (фонарик включен). В момент времени «б» Напряжение снова пропадает (стает равным нулю). Если посмотреть на второй график, который отображает переменное напряжение, то думаю, несложно разобраться что именно происходит с переменным напряжением в разные моменты времени. В нулевой точке оно равно нулю. На протяжении времени от «0″ до «а» напряжение плавно возрастает до значения U1 и в этот же момент начинает спадать. В результате чего в момент времени «б» достигает нулевой отметки. Но как видно на графике, напряжение продолжает падать и становится отрицательным. В точке «г» достигает минимума, и снова начинает возрастать. Это явление повторяется на протяжении существования напряжения (пока свет не отключат . Следует заметить, что переменное напряжение может быть не только такой формы. Оно может быть, например, прямоугольной или практически любой другой формы. Теперь еще раз взгляните на этих два графика, и вспомните, как обозначается постоянный и переменный ток (напряжение).
Нет похожих постов.
Различия токов
Конечно же, главным различием переменного и постоянного тока является возможность переправки DC на большое расстояние. При этом, если таким же путем переправить постоянный ток, его просто не останется. По причине разности потенциалов он израсходуется. Так же стоит отметить то, что преобразовать в переменный очень сложно, в то время как в обратном порядке подобное действие вполне легко выполнимо.
Намного экономичнее преобразование электричества в механическую энергию именно при помощи двигателей, работающих от АС, хотя и имеются области, в которых возможно применение механизмов только прямого тока.
Ну и последнее по очереди, но не по смыслу — все-таки переменный ток безопаснее для людей. Именно по этой причине все приборы, используемые в быту и работающие от DC, являются слаботочными. А вот совсем отказаться от применения более опасного в пользу другого никак не получится именно по указанным выше причинам.
Все изложенное приводит к обобщенному ответу на вопрос, чем отличается переменный ток от постоянного — это характеристики, которые и влияют на выбор того или иного источника питания в определенной сфере.
Передача тока на большие расстояния
У некоторых людей возникает вопрос, на который выше был дан поверхностный ответ: почему по линиям электропередач (ЛЭП) приходит очень высокое напряжение? Если не знать всех тонкостей электротехники, то можно согласиться с этим вопросом. Действительно, ведь если бы по ЛЭП приходило напряжение в 380 В, то не пришлось бы устанавливать дорогостоящие трансформаторные подстанции. Да и на их обслуживание тратиться не пришлось бы, разве не так? Оказывается, что нет.
Дело в том, что сечение проводника, по которому протекает электричество, зависит только от силы тока и от его потребляемой мощности и совершенно в стороне от этого остается напряжение. А это значит, что при силе тока в 2 А и напряжении в 25 000 В можно использовать тот же провод, как и для 220 В с теми же 2 А. Так что же из этого следует?
Здесь необходимо вернуться к закону обратной пропорциональности — при трансформации тока, т.е. увеличении напряжения, уменьшается сила тока и наоборот. Таким образом, высоковольтный ток отправляется к трансформаторной подстанции по более тонким проводам, что обеспечивает и меньшие потери при передаче.
Особенности передачи
Как раз в потерях и состоит ответ на вопрос, почему невозможно передать постоянный ток на большие расстояния. Если рассмотреть DC под этим углом, то именно по этой причине через небольшой отрезок расстояния электроэнергии в проводнике не останется. Но главное здесь не энергопотери, а их непосредственная причина, которая заключается, опять же, в одной из характеристик AC и DC.
Дело в том, что частота переменного тока в электрических сетях общего пользования в России — 50 Гц (герц). Это означает амплитуду колебания заряда между положительным и отрицательным, равную 50 изменений в секунду. Говоря простым языком, каждую 1/50 с. заряд меняет свою полярность, в этом и заключается отличие постоянного тока — в нем колебания практически либо совершенно отсутствуют. Именно по этой причине DC расходуется сам по себе, протекая через длинный проводник. Кстати, частота колебаний, к примеру, в США отличается от российской и составляет 60 Гц.
Генерирование
Очень интересен вопрос и о том, как же генерируется постоянный и переменный ток. Конечно, вырабатывать можно как один, так и другой, но здесь встает проблема размеров и затрат. Дело в том, что если для примера взять обычный автомобиль, ведь куда проще было бы поставить на него генератор постоянного тока, исключив из схемы диодный мост. Но тут появляется загвоздка.
Если убрать из автомобильного генератора выпрямитель, вроде бы должен уменьшиться и объем, но этого не произойдет. А причина тому — габариты генератора постоянного тока. К тому же и стоимость при этом существенно увеличится, потому и применяются переменные генераторы.
Вот и получается, что генерировать DC намного менее выгодно, чем АС, и тому есть конкретное доказательство.
Два великих изобретателя в свое время начали так называемую «войну токов», которая закончилась только лишь в 2007 году. А противниками в ней были Никола Тесла совместно с Джорджем Вестингаузом, ярые сторонники переменного напряжения, и Томас Эдисон, который стоял за применение повсеместно постоянного тока. Так вот, в 2007 году город Нью-Йорк полностью перешел на сторону Теслы, ознаменовав тем самым его победу. На этом стоит немного подробнее остановиться.





























