Виды крахмала
В продаже, как правило, встречается крахмал, изготовленный из картофеля. Но есть большое количество продуктов, из которых выделяется порошкообразное вещество. Разные виды крахмала будут отличаться друг от друга плотностью, цветом и тактильными ощущениями.
Самыми популярными продуктами для изготовления крахмала являются:
- кукуруза;
- картофель;
- пшеница;
- рис;
- ячмень;
- горох;
- маниок;
- батат.
Большое значение в хозяйстве имеют такие виды крахмала как картофельный, рисовый, кукурузный, пшеничный, тапиоковый и бататный. В качестве способа производства используется метод помола клубней, корней и зерна.
Кукурузный крахмал
Кукурузный крахмал
В кукурузных зёрнах содержится около 57 процентов крахмала. Для его выделения кукурузное зерно очищают, дробят и измельчают. Существуют три сорта крахмала из кукурузы: высший, первый и амилопектиновый сорт.
Кукурузному крахмалу допустимо иметь еле заметный жёлтый оттенок. Употребив такое вещество, можно ощутить лёгкий привкус и аромат кукурузы. Степень загущения ниже, чем у картофельного крахмала.
Кукурузный крахмал применяют в пищевой промышленности для изготовления кондитерских изделий, наполнителей и соусов, а также при изготовлении бумаги.
Картофельный крахмал
Картофельный крахмал
Клубни картофеля содержат до 20 процентов крахмального вещества. При измельчении клубней выделяется крахмальное вещество. Оно не имеет ни запаха, ни вкуса. Как правило, цвет белый.
Картофельный крахмал используют для производства кондитерских и колбасных изделий. Ещё одна область, в которой задействован порошок — косметология. В отличие от кукурузного вещества, картофельный порошок быстрее густеет, его консистенция плотнее.
Пшеничный крахмал
Пшеничный крахмал
В пшеничных зернах содержится до 65 процентов крахмала. Отличительная черта данного вещества — кристаллическая структура с тонкими порами. Благодаря таким свойствам, пшеничный крахмал отлично впитывает влагу, например, в выпечке.
Используя этот вид вещества в приготовлении еды, важно помнить его особенность. Пшеничный крахмал необходимо добавлять в большом количестве, поскольку он сгущает жидкости хуже, чем остальные
Важно мнить, что крахмал из пшеницы довольно быстро «стареет».
Рисовый крахмал
Рисовый крахмал
Обработанные зерна риса используют для производства крахмала. Такое вещество состоит из мелких зёрен. При использовании большого количества рисового крахмала в блюдах можно ощутить знакомый привкус и аромат крупы. Рис хранит в себе 75% крахмального вещества.
Рисовый крахмал используется в косметологии, в средствах народной медицины и в различных блюдах. Сиропы, соусы и сладости часто имеют в составе рисовый порошок.
Тапиоковый и бататный крахмал
Тапиоковый и бататный крахмал
В преимущественно тропических странах, где невозможно вырастить картофель, данные виды растений используются для изготовления крахмала. Известно, что в батате концентрируется до 30 процентов крахмала, в маниоке — до 40.
Основное применение тапиоковый крахмал получил в пищевой промышленности в качестве стабилизатора и загустителя. Добавляется в колбасные, хлебобулочные, кондитерские изделия. Активно используется для приготовления блюд из мяса, соусов и лапши быстрого приготовления.
Химические и физические свойства крахмала
Химические и физические свойства крахмала
Рассмотрим детальнее химические и физические свойства крахмала. Он представляет собой порошок белого цвета. Иногда допустим желтоватый оттенок. Крахмал не может растворяться в холодной воде. В горячей воде образовывает коллоидный раствор или же клейстер из крахмала. Не имеет вкуса. Имеет щелочной pH, благодаря этому способен окислять организм. При сжатии можно услышать крахмальный скрип из-за трения микрозерен крахмального порошка.
Крахмал довольно сыпучий и по консистенции напоминает муку. Состоит из крахмальных зёрен. Крахмал, изготовленный из разного сырья, будет иметь некоторые отличия. К примеру, рисовый порошок может иметь аромат рисовой крупы, а его структура будет более пористой.
Вещество имеет две формы. Первая из них — линейный полимер, амилоза. Он активно растворяется в горячей воде. Вторая — это амилопектин, также является полимером, но он может лишь набухнуть в воде.
Крахмал является главным источником энергии в растениях. Благодаря фотосинтезу вещество образуется в клетках, а затем накапливается в корнях, семенах или же в клубнях. Живой крахмал (гликоген) формируется в печени и мышечных тканях животных.
Попадая в кислую теплую среду, крахмал гидролизуется. Впоследствии распадается на глюкозу. Так вещество ведёт себя и в желудке человека. Контактируя с йодом, крахмал окрашивается в ярко-синий цвет. Имеет свойства геля или клейстера. Обладает свойствами клейстера или геля.
Полимерные свойства крахмала
- Вязкость: Крахмал имеет высокую вязкость благодаря геликсной структуре его молекул. Это позволяет ему обладать отличными текучими свойствами, что делает его полезным в производстве пищевых добавок, лепких материалов и клеев.
- Гибкость: Крахмал может изменять свою форму и структуру в зависимости от окружающих условий. Это делает его эластичным и податливым, что способствует его использованию в производстве гибких пленок и упаковочных материалов.
- Подводимость: Крахмал хорошо подводит воду благодаря гидрофильности своих молекул. Это позволяет ему использоваться в производстве гидрофильных покрытий и смачивающих материалов.
- Стабильность: Крахмал обладает стабильностью при высоких температурах, что делает его подходящим для использования в пищевой промышленности, где требуется устойчивость к нагреванию.
- Абсорбционные свойства: Крахмал может поглощать и задерживать влагу благодаря существованию гидрофильных групп в его структуре. Это делает его эффективным в качестве вяжущего и увлажняющего компонента в косметических и фармацевтических продуктах.
В целом, полимерные свойства крахмала делают его универсальным и многофункциональным материалом, который находит широкое применение в различных отраслях промышленности и науки.
Химические свойства целлюлозы
1. Гидролиз
Так же, как и крахмал, целлюлоза подвергается гидролизу. Конечным продуктом гидролиза целлюлозы является глюкоза:
2. Образование ацетатов целлюлозы
Макромолекулы целлюлозы содержат гидроксильные группы, поэтому целлюлоза проявляет свойства, характерные для спиртов. Например, целлюлоза образует сложные эфиры при взаимодействии с уксусной кислотой (уравнение реакции приведено для одного структурного звена макромолекулы целлюлозы):

Эфиры целлюлозы с уксусной кислотой называются ацетатами целлюлозы. Если в реакцию вступают все гидроксильные группы молекулы целлюлозы, образуется триацетат целлюлозы. Из схемы видно, что в макромолекулах триацетата целлюлозы отсутствуют гидроксильные группы. Следовательно, между этими молекулами нет водородных связей, поэтому макромолекулы триацетата целлюлозы не так прочно связаны друг с другом, как молекулы целлюлозы. Это приводит к тому, что, в отличие от целлюлозы, её ацетаты растворяются в некоторых органических растворителях. Это используется при получении искусственных волокон.
Как мы уже говорили, в древесине макромолекулы целлюлозы расположены менее упорядоченно, чем в волокнах хлопка и льна (рис. 44.2). Следовательно, для получения волокон из целлюлозы, выделенной из древесины, необходимо расположить макромолекулы целлюлозы вдоль одного направления — вдоль оси волокна. Для этого следует придать молекулам целлюлозы подвижность, например, путём перевода их в раствор. Поскольку сама целлюлоза не растворяется ни в воде, ни в органических растворителях, для перевода её в растворимое состояние из целлюлозы получают ацетаты целлюлозы. Ацетаты целлюлозы растворяют в органических растворителях. При этом образуется вязкий раствор. Затем этот раствор продавливают через узкие отверстия. При этом макромолекулы выстраиваются вдоль одного направления (рис. 44.3).
Ацетатное волокно состоит из модифицированных молекул природного полимера — целлюлозы. Такие волокна называются искусственными волокнами. Их следует отличать от синтетических волокон, макромолекулы которых получены синтетическим путём по реакции поликонденсации. Примером синтетических волокон является полиэфирное волокно лавсан (§ 38).
В каких продуктах содержится крахмал
В каких продуктах содержится крахмал
Крахмал — естественная составляющая фруктов, овощей, бобов и злаков. Его можно встретить в орехах и других ежедневно употребляемых продуктах. Изобилие крахмального вещества обнаруживается в различных крупах, в мучных изделиях и в бобовых.
Манная, пшеничная и рисовая каша будет состоять из 70 процентов крахмала в пересчёте на 100 грамм продукта. Пшеничная и ржаная мука, из которой делаются хлебобулочные изделия, состоит из 65 процентов крахмала. В популярных хлопьях «Геркулес» можно обнаружить до 50 процентов крахмального вещества.
Такие виды бобовых как горох, фасоль и чечевица содержат в себе до 45 процентов порошка крахмала. Различные макаронные изделия состоят на 68 процентов из крахмала. В лакомствах к чаю (к примеру, печенье) можно обнаружить около 55 процентов вещества.
Различные овощи и фрукты наполнены крахмалом. Многими любимый картофель вопреки распространенному мифу о его крахмальности имеет лишь до 20% белого порошка в своем составе. Корень хрена и имбиря имеет более 11 процентов вещества.
Свежий зелёный горох состоит из 7 процентов крахмала, а тыква или банан — 2 процента, но количество крахмала стремительно уменьшается со временем созревания плодов.
В природе также существуют продукты, в которых содержится малое количество крахмала, к ним относят:
- чеснок;
- цикорий;
- морковь;
- помидор;
- капуста;
- перец;
- грибы;
- петрушка;
- шпинат;
- пастернак.
Производство целлюлозы и крахмала
Для получения целлюлозы используется древесина или другие растительные материалы. Сначала сырье подвергается механической обработке, чтобы удалить кору и внутренние слои. Затем остатки древесины подвергаются химической обработке, включающей обеззоливание и обесцвечивание. В результате процесса получается целлюлоза – волокнистый материал, состоящий из длинных полимерных цепей глюкозы.
| Процесс производства целлюлозы | Процесс производства крахмала |
|---|---|
| 1. Подготовка сырья (древесина, растительные материалы) | 1. Измельчение и очистка сырья (картофель, зерновые) |
| 2. Механическая обработка и удаление коры | 2. Помол и очистка сырья |
| 3. Химическая обработка | 3. Гидролиз (разложение крахмала на молекулы глюкозы) |
| 4. Обеззоливание и обесцвечивание | 4. Отделение глюкозы от других компонентов |
| 5. Получение целлюлозы | 5. Обработка и сушка глюкозы |
Производство крахмала включает помол и очистку сырья (например, картофеля или зерна). Затем происходит гидролиз, при котором крахмал разлагается на молекулы глюкозы. После этого происходит отделение глюкозы от других компонентов и процесс обработки и сушки глюкозы. В результате получается крахмал – углеводный полимер, состоящий из молекул глюкозы.
Итак, целлюлоза и крахмал различаются как по своему происхождению, так и по процессам их производства. Целлюлоза получается из древесины или растений, а крахмал — из картофеля или зерновых. Химическая структура целлюлозы и крахмала также отличается: целлюлоза состоит из длинных полимерных цепей глюкозы, а крахмал — из молекул глюкозы. Использование этих веществ различно и зависит от их свойств и производства.
Природное вхождение целлюлозы и крахмала
Целлюлоза является наиболее распространенным полисахаридом на Земле и составляет основной компонент целлюлярных стенок растений. Она встречается во многих растениях, таких как деревья, травы и овощи. Целлюлоза имеет прочную и волокнистую структуру, которая обеспечивает опору и защиту клеток растений. Она не растворима в воде и образует бесцветные волокнистые материалы, такие как бумага и текстиль. Человек использует целлюлозу в различных отраслях промышленности, таких как бумажное производство, текстильное производство и пищевая промышленность.
Крахмал является основным запасным полисахаридом растений и обеспечивает накопление энергии. Он находится во многих продуктах питания, содержащих углеводы, таких как картофель, рис, пшеница и кукуруза. Крахмал состоит из двух фракций: амилозы и амилопектина. Амилоза представляет собой линейную молекулу, а амилопектин – ветвистую молекулу. Крахмал является растворимым в воде и может быть использован в пищевой промышленности как загуститель и стабилизатор.
Оба полисахарида имеют важное значение для растений и человека. Они предоставляют энергию и питательные вещества, а также выполняют важные структурные функции
Понимание их природного вхождения и свойств позволяет более эффективно использовать их в различных отраслях промышленности и сельском хозяйстве.
| Целлюлоза | Крахмал |
|---|---|
| Наиболее распространенный полисахарид | Основной запасной полисахарид |
| Прочная и волокнистая структура | Растворим в воде |
| Составляет основной компонент целлюлярных стенок | Обеспечивает накопление энергии |
| Используется в промышленности для производства бумаги, текстиля и других материалов | Используется в пищевой промышленности как загуститель и стабилизатор |
Главное отличие
Полимеры – это огромные молекулы, которые образуются из комбинации более мелких молекул, которые соединены вместе концами. Эти меньшие молекулы известны как мономеры и помогают образовывать дополнительные полимеры. Они играют важную роль в повседневной жизни, а также присутствуют в разных живых существах. Они обладают свойствами пластмасс и даже человеческой ДНК, которые важны для существования жизни. Полимеры образуются из разных веществ, и одним из наиболее распространенных в этом случае является глюкоза. Существует два разных типа полимеров, которые образуются из глюкозы, и они известны как крахмал и целлюлоза. Оба они сделаны из одного и того же мономера и одинаковых единиц, которые требуются, но между ними мало различий, которые отличают их по-своему. Основное различие между этими двумя типами полимеров состоит в том, что в крахмале все звенья глюкозы следуют в том же направлении, что и другие, и не отклоняются от своего пути. Для целлюлозы все единицы глюкозы находятся под углом 180 градусов и вращаются с одинаковой скоростью на оси. Оба они необходимы для компенсации потребности в энергии в мире, а также принадлежат к одной и той же группе, но существуют также различия в том, как они связаны друг с другом. В крахмале глюкозные звенья связаны друг с другом с помощью гликозидной связи, в то время как они соединяются вместе с альфа-1,4-связью для целлюлозы. Другое отличие состоит в том, что зерно – это форма, в которой существует крахмал, а волокно – это форма, в которой существует целлюлоза. Существуют также различия в физических и химических свойствах обоих. Оба из них используют разные мономеры. Основным для крахмала является a-глюкоза, а основным – для целлюлозы b-глюкоза. Связывание, такое как амилоза и амилопектин, доступно только в крахмале, а в гликогене отсутствует. Существует много разветвленных цепей меньшего размера, в то время как некоторые из них скручены вместе для получения крахмала, тогда как природа цепей в целлюлозе заключается в неразветвленных цепях, которые имеют большую длину и образуют Н-связи. Основной функцией крахмала в растениях является накопление энергии в форме углеводов, в то время как основной функцией клетчатки в растениях являются структурные изменения. Крахмал существует в форме зерен, а целлюлоза доступна в форме волокон. Между ними также есть много других отличий, которые будут перечислены в конце. Краткое описание обоих этих типов глюкозных полимеров приведено ниже.
Суточная норма крахмала для человека
Суточная норма крахмала для человека
Как упоминалось ранее, крахмал распадается на глюкозу. Глюкоза — основной энергетический ресурс для тела человека. Поэтому его употребление в пищу является обязательным.
Более половины калорий организм должен брать из углеводных продуктов. Следственно, чтобы получить полноценный объем крахмала, треть рациона должны включать продукты с содержанием данного вещества.
Средняя суточная норма крахмала для человека — 350 грамм. Для того чтобы получить такое количество вещества, достаточно употребить в течение дня различные виды каш, блюда из картофеля, бобовые или же макароны. Отруби являются отличным источником нерафинированного крахмала, их также стоит добавить в рацион.
Все крахмалосодержащие продукты питания в одной порции доставляют телу около 16 граммов углеводов. Основная их часть образовывается непосредственно из крахмала.
Вред крахмала для организма
Вред крахмала для организма
Природный крахмал в целом считается безопасным продуктом. Но если речь идёт о модифицированном или рафинированном веществе, то существуют некоторый вред крахмала для организма.
Во-первых, неконтролируемое употребление пищи с объемным количеством крахмала ведёт к накоплению лишней энергии и ожирению. Как следствие, страдают внутренние органы и опорно-двигательная система человека.
Во-вторых, еда с повышенным количеством крахмала провоцирует скачек инсулина в крови и его резкое падение. Это пагубно сказывается на организме в целом. Вдобавок повышается риск развития сахарного диабета. Людям с проблемами расщепления и всасывания углеводов стоит быть аккуратными с крахмалосодержащими продуктами.
В-третьих, нарушается обмен веществ и работа ЖКТ. Запоры и вздутие кишечника могут стать частыми гостями у любителей крахмалосодержащих продуктов. Стоит помнить, что крахмал (особенно картофельный) является частой причиной аллергических реакций.
Starch vs Cellulose
The difference between Starch and Cellulose is that in Starch, the glucose repeat units are all situated in the same direction, whereas in Cellulose, each glucose unit is rotated by 180 degrees around the polymer chain axis.
Starch is a glucose polymer where all repeat units are situated in one direction. The units are connected by alpha bonds. Starch is edible because we have enzymes that can break it down into glucose.
This is further safely used and can be eaten by human beings. Starch is a carbohydrate, and people get their Starch and carbohydrate mainly from potatoes, wheat, and corn.
Cellulose is a glucose polymer where each successive glucose unit can be rotated around the axis of the backbone polymer chain. These units are connected internally by beta chains.
Cellulose is not edible and cannot be consumed by human beings. The human body does have enzymes, but these enzymes cannot break Cellulose into glucose. However, some animals like cows, and termites can break them and consume them.
Особенности функции целлюлозы
- Создание прочной оболочки. Целлюлоза формирует сетчатую структуру в клеточной стенке, которая придает ей прочность и устойчивость к механическим воздействиям. Благодаря этому растения сохраняют свою форму и не деформируются под действием внешней силы.
- Поддержка водного баланса. Целлюлоза способствует регуляции водного баланса растений. Она обладает осмотической активностью и способна задерживать воду, создавая условия для нормального функционирования клеток.
- Участие в обмене веществ. Целлюлоза является неперевариваемой для многих организмов, включая человека. Однако, она играет важную роль в обмене веществ у растений. Целлюлоза участвует в процессе фотосинтеза, в ходе которого растения превращают солнечную энергию в химическую и создают органические вещества.
- Построение микрофлоры желудочно-кишечного тракта. Целлюлоза, не перевариваясь в человеческом организме, достигает толстого кишечника, где служит подложкой для размножения полезных бактерий. Эти бактерии улучшают пищеварение и помогают всасыванию питательных веществ.
Таким образом, целлюлоза выполняет ряд важных функций для растений, обеспечивая им прочность, поддерживая водный баланс, участвуя в обмене веществ и способствуя нормальному функционированию желудочно-кишечного тракта у человека.
- Крахмал является хранилищем энергии у растений и дает животным энергию при употреблении продуктов, богатых крахмалом.
- Целлюлоза служит структурным элементом клеточных стенок растений и выполняет ряд важных функций, включая поддержку растений и образование пищевого волокна.
Химическая структура крахмала отличается от целлюлозы тем, что крахмал состоит из двух типов глюкозных полимеров – амилопектина и амилозы, в то время как целлюлоза состоит только из глюкозных полимеров.
Крахмал и целлюлоза также отличаются по своей растворимости. Крахмал растворяется в воде и образует гелеобразующие структуры, которые используются в пищевой и других отраслях промышленности, в то время как целлюлоза плохо растворима в воде и не образует гелей.
В целом, крахмал и целлюлоза имеют различные функции и свойства, и их различия в химической структуре определяют их уникальные характеристики и применение
Понимание различий между этими двумя полимерами углеводов имеет важное значение для пищевой и других отраслей промышленности, а также для понимания искусственного синтеза и модификации полимеров
Крахмал для волос
Крахмал для волос
Многие женщины применяют кукурузный или картофельный крахмал для волос в качестве ухода. Вещество способно благотворно влиять на луковицы волос. Входящая в состав крахмала глюкоза питает и укрепляет корни волос, а ниацин способствует оздоровлению и прекращает выпадение прядей.
Кожный покров головы и волосы регенерируются во время использования крахмала. Такие минералы, как фосфор, калий, натрий, кальций напитывают волосы, а сам крахмал обволакивает пряди и делает их шелковистыми. К тому же вещество часто используют в качестве шампуня или маски: крахмал избавляет от сальных выделений и очищает поры.
Биологическое происхождение
Целлюлоза является основным компонентом клеточной стенки растений. Она обеспечивает прочность и устойчивость клеточной структуры, придавая растению форму и поддерживая его определенный объем. Биологическое происхождение целлюлозы связано с процессом фотосинтеза, в котором растения с помощью хлорофилла и солнечного света преобразуют углекислый газ и воду в глюкозу. Затем глюкоза связывается в цепи и образует молекулы целлюлозы, которые образуют клеточные стенки.
Крахмал также является полисахаридом, который выступает в качестве запасного источника энергии для растений. Биологическое происхождение крахмала связано с процессом образования пластид, таких как хлоропласты. Растения синтезируют глюкозу во время фотосинтеза и временно сохраняют ее в виде крахмала в пластиды. Крахмал представляет собой гранулы, которые состоят из двух основных форм — амилоузы и амилопектинов. Амилоуза имеет линейную структуру, а амилопектин — ветвистую структуру.
Таким образом, целлюлоза и крахмал имеют схожее биологическое происхождение, связанное с фотосинтезом и образованием глюкозы в растениях. Однако их роли и структуры отличаются — целлюлоза служит для поддержки и прочности клеточной структуры, в то время как крахмал используется как запасной источник энергии.
Целлюлоза
Целлюлоза также является углеводом. Она имеет большее распространение, чем сам крахмал, является составной частью оболочки клеток растений. Целлюлозу по-другому называют клетчаткой. В деревянном сырье находится шестьдесят процентов целлюлозы, а в бумаге, которую отфильтровали, содержится примерно девяносто процентов целлюлозы.
Целлюлоза представляет собой твердое вещество, не имеющее запаха, белого цвета, которое не растворяется в водном растворе и других растворителях, относящихся к органике. Она хорошо растворяется в концентрированном растворе аммиака с гидроксидом меди (называется реактивом Швейцера). Из такого кислотного раствора получают целлюлозные волокна, называемые гидратцеллюлозой. Вещество клетчатка (целлюлоза) отличается значительной механической прочностью и эластичностью.
Молекулы целлюлозы строятся неразветвленно (нелинейно), поэтому образуются именно волокна этого вещества. А молекулы крахмала строятся и разветвлено, и линейно. Этим и отличаются крахмал и целлюлоза.
Различны эти вещества и по своему строению, а именно: крахмальные молекулы состоят из остатков альфа-глюкозы, а молекулы клетчатки состоят из остатков бета-глюкозы.
Эти незначительные отличия строения данных веществ приводят к большим отличиям в их свойствах. Крахмал является пищевым продуктом, а целлюлозу в пищу не используют.
При взаимодействии с йодом и серной кислотой, целлюлоза окрашивается в синий цвет. А при взаимодействии только лишь с йодом – окрашивается в коричневый оттенок.
Целлюлоза не выдает реакцию «серебряного зеркала». Каждый глюкозный остаток в ней содержит три группы гидроксилов, из-за которых могут образоваться эфиры. При стандартной температуре целлюлоза вступает в реакцию только с концентратами кислот. Как и крахмал, она подвержена гидролизации с появлением глюкозы, когда происходит ее нагрев с не концентрированными кислотами.
Гидролизация целлюлозы по-другому называется осахариванием
Это важное свойство, которое помогает получать из деревянных опилок и деревянной стружки целлюлозу. Когда ее сбраживают, то получается этил, он носит название гидролизного спирта
На гидролизных предприятиях из одной тонны деревянного сырья выходит примерно двести литров этила, это дает возможность заменять полторы тонны картошки либо ноль целых семь десятых тонн зерновых культур.
Глюкоза в своем сыром состоянии, которую получали из древесного сырья, применяется как корм для домашнего скота. А хлопок, лен и пенька (это все тоже является целлюлозой) применяются для производства хлопковых и льняных тканей.
Много целлюлозы используется для изготовление бумажной продукции. Бумага является тонким слоем волокон целлюлозы, они спрессовываются и проклеиваются, чтобы не допустить растекания чернил и краски. Изначально бумагу делали из стеблей риса, хлопкового волокна и старых тканей. Затем этого сырья стало не хватать. Стали применять древесное сырье. В промышленности целлюлозу можно получать варкой древесной щепы. Много бумаги нужно для производства газет, но ее качество (белый цвет, прочность, износоустойчивость) не имеет значения. Дешевую бумагу делают из хвойного древесного сырья, а дорогую качественную бумагу изготавливают из хлопковой и льняной макулатуры. Из целлюлозы путем химической обработки производят искусственное тканевое волокно (вискозное, шелковое, шерстяное), пластмассу, лак, пленку для кинофильмов и фотографий, порох без дыма.
Таким образом, сравнительная характеристика крахмала и целлюлозы показала, что крахмал и целлюлоза являются похожими полимерными веществами (сложными углеводами). Оба эти полимера белого оттенка. Они не растворяются в воде. Строятся из глюкозных молекул. Обозначаются одной химической формулой, способны гидролизоваться и не выдают реакцию «серебряного зеркала». Отличаются они своей структурой (у целлюлозы она линейная, а у крахмала и линейная, и разветвленная). Строение их также различно, хотя глюкоза присутствует в их составе (крахмал строится из остатков альфа-глюкозы, а целлюлоза – из остатков бета-глюкозы). Различны они и областью использования (крахмал применяют в качестве пищевого продукта, а целлюлозу – нет; целлюлозу используют для производства бумажной и текстильной продукции, для изготовления разных предметов, а крахмал – нет). Глюкоза отличается от крахмала и своей прочностью, из нее можно делать волокно. Она и разлагается дольше крахмала.
Строение и физические свойства
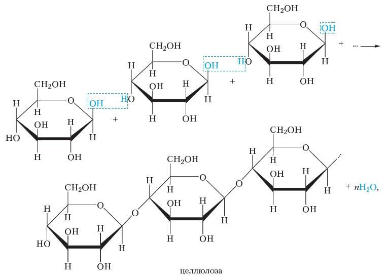
Молекулярная формула целлюлозы — (C6H10O5)n, то есть целлюлоза, как и крахмал, является полисахаридом. В то же время, строение целлюлозы и крахмала различается. В отличие от крахмала, макромолекулы целлюлозы состоят из остатков β-глюкозы. Процесс образования целлюлозы из глюкозы представлен на схеме:
или
Есть ещё одно важное отличие в строении целлюлозы и крахмала. Макромолекулы крахмала могут быть линейными или разветвлёнными, в то время как макромолекулы целлюлозы имеют линейное строение
Линейные макромолекулы целлюлозы могут располагаться параллельно друг другу и образовывать между собой множество водородных связей. Благодаря этому целлюлоза имеет высокую механическую прочность и не растворяется в воде и органических растворителях.
Вывод
Крахмал и целлюлоза являются идентичными полимерами, имеющими одинаковые повторяющиеся звенья. Эти повторяющиеся единицы зависят от глюкозы и в основном состоят из той же глюкозы и мономера. Хотя и крахмал, и целлюлоза имеют много схожих характеристик, они отличаются друг от друга во многих аспектах.
Крахмал – это полимер глюкозы, в котором все повторяющиеся звенья расположены в одном направлении. Агрегаты связаны альфа-связями. Крахмал съедобен, поскольку в организме человека есть ферменты, которые способны расщеплять крахмал до глюкозы. Это безопасно используется и может быть съедено людьми. Крахмал – это углевод, и люди получают свой Крахмал и углеводы в основном из картофеля, пшеницы, кукурузы.
Целлюлоза – это полимер глюкозы, в котором звено глюкозы может вращаться вокруг оси полимерной цепи. Эти блоки связаны внутри бета-цепями. Целлюлоза не является съедобной и не может быть употреблена людьми. В организме человека есть ферменты, но эти ферменты не могут расщеплять целлюлозу на глюкозу. Однако некоторые животные, например коровы, термиты могут их сломать и съесть.
Основное различие между крахмалом и целлюлозой состоит в том, что в крахмале повторяющиеся единицы глюкозы расположены в одном направлении, тогда как в целлюлозе каждая последующая единица глюкозы повернута на 180 градусов вокруг оси основной цепи полимера.




























