Можно ли диабетикам?
Для нее характерен невысокий гликемический индекс. По этой причине она может приниматься людьми с сахарным диабетом. Количество употребляемой фруктозы напрямую зависит от типа диабета у больного. Имеется разница между воздействием моносахарида на организм человека, страдающего диабетом 1-го и 2-го типа.
Она особенно полезна для больных 1-м типом диабета, поскольку у них отмечается хроническая гипергликемия. Данный углевод для переработки не требует большого количества инсулина в отличие от глюкозы.
Углевод не помогает тем больным, у кого на фоне лечения снизилась концентрация сахара в крови. Моносахарид не может использоваться ими на фоне гипогликемии.
Употребление фруктозного сахара больными диабетом 2 типа требует большой осторожности. Часто указанный тип заболевания развивается у людей с избыточным весом, а фруктозный сахар провоцирует неконтролируемый аппетит и выработку печенью жиров
При употреблении больными продуктов с фруктозным сахаром свыше нормы возможно ухудшение состояния здоровья и появление осложнений.
Больным с любым типом болезни рекомендуется употреблять натуральные фрукты и ягоды, в которых фруктозный сахар содержится в естественном виде. Замена натурального вещества на искусственное способно вызвать непереносимость углевода.
Необходимо соблюдать следующие рекомендации:
- людям с диабетом 1 типа разрешается ежедневное употребление 50 г моносахарида;
- людям с болезнью 2 типа достаточно 30 г в сутки с учетом постоянного контроля за самочувствием;
- больным с избыточным весом рекомендуется сильно ограничить употребление углеводного вещества.
Несоблюдение режима приема фруктозного сахара приводит к появлению у диабетиков сопутствующих тяжелых осложнений в виде подагры, атеросклероза и катаракты.
Строение глюкозы
Состав глюкозы выражается молекулярной формулой Ее структурная формула:
Глюкоза в линейной (открытой) форме содержит альдегидную группу и пять гидроксильных групп. Поэтому глюкоза относится к полифункциональным органическим соединениям: одновременно является альдегидом и многоатомным спиртом.
По систематической номенклатуре ИЮПАК альдегидная группа по сравнению с гидроксильной группой является старшей функциональной группой. По этой причине нумерация атомов углерода в молекуле глюкозы начинается с атома углерода альдегидной группы.
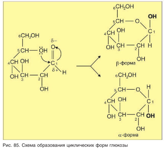
Изучение строения глюкозы показало, что приведенная выше линейная форма молекулы существует только в разбавленных растворах небольшой концентрации. В твердом виде глюкоза существует в циклических формах.
Образование циклической формы глюкозы легче понять, если рассмотреть межмолекулярную реакцию присоединения спирта к альдегиду:

Следует обратить внимание, что в результате реакции присоединения из карбонильного атома кислорода альдегида образуется новая гидроксильная группа. Образование связей в молекуле глюкозы происходит таким же образом, но внутримолекулярное так как в ее составе имеются и альдегидная, и гидроксильные группы
Образование циклической формы происходит за счет взаимодействия неподеленной пары электронов атома кислорода гидроксильной группы с атомом углерода карбонильной группы молекулы глюкозы (рис. 85).

Двойная связь при этом разрывается, и атом водорода гидроксильной группы присоединяется к кислороду карбонильной группы.
Расположение групп атомов в циклической форме молекулы глюкозы не является произвольным, а строго соответствует ее пространственному строению. При таком способе записи циклической формы молекулы глюкозы предполагается, что плоскость цикла перпендикулярна плоскости листа бумаги, а заместители у атомов углерода расположены над и под плоскостью цикла.
Образовавшаяся новая гидроксильная группа (выделена шрифтом) может находиться под циклом или над циклом, что приводит к двум циклическим формам молекулы глюкозы: и формам.
Две циклические формы молекулы глюкозы являются разными веществами. Они отличаются друг от друга физическими свойствами (-формы глюкозы 140 °С, -формы глюкозы 150 °С) и пространственным расположением заместителей у атома углерода под номером 1.
В -форме глюкозы гидроксильная группа у первого углеродного атома и группа — находятся по одну сторону цикла, в -форме — по разные стороны цикла (см. рис. 85).
Почему образуются две циклические формы глюкозы? Все три атома альдегидной группы молекулы глюкозы в пространстве находятся в одной плоскости. По этой причине неподеленная электронная пара атома кислорода гидроксильной группы углерода С5 может образовывать химические связи с атомом углерода альдегидной группы как сверху — образуется одна форма, так и снизу — образуется другая форма, т. е. образуются разные пространственные изомеры.
Таким образом, в водном растворе глюкоза одновременно находится в линейной и циклических формах, между которыми устанавливается равновесие.
Модель молекулы глюкозы приведена на рисунке 86.

Растительные заменители сахара
Стевия
Стевия / Фото: Wikimedia
Стевия — род многолетних растений, произрастающих в Южной и Центральной Америке. В качестве подсластителя ее на протяжении столетий использовали коренные индейцы — они называли стевию «сладкой травой». Как показало исследование 1931 года, в составе растения содержатся гликозиды, чья сладость во многом превышает сладкий вкус сахарозы. При всем этом стевия не влияет на уровень глюкозы в крови и могла бы стать идеальным сахарозаменителем, но вопросов вокруг нее намного больше, чем ответов. Некоторые исследования
утверждали
, что стевия — мутаген и канцероген. Их быстро
опровергли
из-за особенностей условий, в которых они проводились, но осадок остался. FDA до сих пор
относит стевию
к продуктам с неопределенной безопасностью и токсичностью, хотя известно, что ее применяют для лечения гипертонии и диабета.
Лукума
Лукума / Фото: Wikimedia
Еще одно растение родом из Южной Америки, порошок из плодов которого на протяжении столетий используют для подслащивания еды. Несмотря на популярность порошка из лукумы, существует мало данных о ее пищевой ценности (и пользе в целом) — известно, что в продукте содержится сахароза, глюкоза, фруктоза, лимонная и янтарная кислоты. Но непонятно, может ли лукума дать организму нужное для функционирования количество сахара.
Кокосовый сахар
Кокосовый сахар / Фото: Wikimedia
За последние несколько лет спрос на кокосовый сахар как альтернативу белому заметно возрос, что привело к необходимости провести исследования о его вреде и пользе. Согласно данным, сахар из кокосового сока сохраняет полезные вещества — он не только обеспечивает организм энергией, но и снабжает его минералами, жирными кислотами и антиоксидантами. Весомый плюс — содержание клетчатки, которая, как мы уже поняли, тормозит всасывание глюкозы в кровь. Всю пользу перевешивает ощутимый минус — калорийность кокосового сахара равняется калорийности белого. К тому же количество сахарозы в составе этих продуктов практически одинаковое, следовательно, приравнивается и содержание в них глюкозы и фруктозы. Кокосовый сахар менее сладкий, чем обычный белый, поэтому для поддержания вкуса его придется употребить в большем количестве, а организм получит больше калорий и фруктозы.
Сорбит
Сорбит / Фото: Wikimedia
Сорбит — многоатомный спирт со сладким вкусом, содержащийся в морских водорослях, плодах рябины и сливы. Применяется как сахарозаменитель, но, согласно последним исследованиям, большие дозы сорбита (от 10 грамм и выше) могут спровоцировать желудочно-кишечную недостаточность.
Эритрит
Еще один многоатомный спирт эритрит был впервые обнаружен в черной патоке — мелассе.
Меласса / Фото: Wikimedia
Эритрит кажется самым полезным сахарозаменителем — он обладает практически нулевой калорийностью и никак не влияет на уровень глюкозы и инсулина в крови. К продукту нет претензий даже у FDA — по мнению комиссии, он является безопасным аналогом сахара. Он также не влияет на работу кишечника. Попадая в организм, эритрит метаболизируется в тонкой кишке и выводится из организма через почки, минуя толстую кишку и микрофлору.
Кэроб
Кэроб / Getty Images
Кэроб — альтернатива сахару и какао, полученная из плодов рожкового дерева. Кстати, в древности эти плоды использовали в качестве меры веса, потому что они обладают постоянной массой. Как аналог сахару и какао кэроб используют очень давно, но особенное
распространение
он получил в середине прошлого века на волне популяризации здорового образа жизни. Кэроб довольно калориен (222 килокалории на 100 грамм), но при этом обладает низким гликемическим индексом и не повышает уровень глюкозы.
Они перевариваются и усваиваются по-разному
Ваш организм переваривает и усваивает моносахариды и дисахариды по-разному.
Поскольку моносахариды уже находятся в самой простой форме, их не нужно расщеплять, прежде чем ваш организм сможет их использовать. Они усваиваются, попадая непосредственно в ваш кровоток, прежде всего в тонком кишечнике и в меньшей степени во рту (4).
С другой стороны, дисахариды, такие, как сахароза, должны быть расщеплены на простые сахара, прежде чем они могут быть усвоены.
Как только сахара находятся в их самой простой форме, они метаболизируются по-разному.
Усвоение и использование глюкозы
Глюкоза усваивается непосредственно через слизистую оболочку тонкой кишки, попадая в кровь, которая доставляет ее в ваши клетки (4, 5).
Она повышает уровень сахара в крови быстрее, чем другие сахара, что стимулирует выделение инсулина (6).
Инсулин необходим для поступления глюкозы в ваши клетки (7).
Внутри клеток глюкоза либо используется немедленно для получения энергии, либо превращается в гликоген для хранения в мышцах или печени для будущего использования (8, 9).
Ваш организм тщательно контролирует уровень сахара в крови. Когда он становится слишком низким, гликоген расщепляется на глюкозу и высвобождается в вашу кровь для использования в качестве источника энергии (9).
Если глюкоза недоступна, ваша печень может получить этот тип сахара из других источников (9).
Усвоение и использование фруктозы
Как и глюкоза, фруктоза усваивается, попадая непосредственно в ваш кровоток из тонкой кишки (4, 5).
Она повышает уровень сахара в крови более медленно, чем глюкоза, и, по-видимому, сразу не влияет на уровень инсулина (6, 10).
Однако, несмотря на то, что фруктоза сразу не повышает уровень сахара в крови, она может оказывать более долгосрочные негативные последствия.
Ваша печень должна превращать фруктозу в глюкозу, прежде чем ваш организм сможет использовать ее для получения энергии. Если вы едите больше фруктозы, чем может обрабатывать ваша печень, избыток превращается в холестерин и триглицериды (11).
Это может иметь негативные последствия для здоровья, такие как ожирение, жировая болезнь печени и высокий уровень холестерина.
Усвоение и использование сахарозы
Поскольку сахароза является дисахаридом, ее необходимо расщепить до того, как ваш организм сможет ее использовать.
Ферменты во рту частично расщепляют сахарозу на глюкозу и фруктозу, а кислота в вашем желудке расщепляет ее дальше. Однако большая часть переваривания сахара происходит в тонком кишечнике (4).
Фермент сахараза, которая вырабатывается слизистой поверхностью тонкой кишки, разделяет сахарозу на глюкозу и фруктозу. Затем они всасываются в ваш кровоток, как описано выше (4).
Присутствие глюкозы увеличивает количество усваиваемой фруктозы, что стимулирует выделение инсулина. Это означает, что для создания жира фруктозы используется больше по сравнению с тем, когда этот тип сахара употребляется в одиночку (11).
Поэтому употребление фруктозы и глюкозы вместе может нанести вред вашему здоровью в большей степени, чем при употреблении по отдельности. Это может объяснить, почему добавленные сахара, такие как кукурузный сироп с высоким содержанием фруктозы, связаны с различными проблемами со здоровьем.
Глюкоза и фруктоза всасываются непосредственно в ваш кровоток, в то время как сахароза должна сначала быть расщеплена. Глюкоза используется для получения энергии или хранится в виде гликогена. Фруктоза превращается в глюкозу или хранится в виде жира.
Чем отличается фруктоза от Глюкозы. Что такое фруктовый моносахарид?

Фруктоза и глюкоза вместе представляют собой одну молекулу сахарозы. Учеными доказано, что фруктовый моносахарид минимум в пол раза слаще глюкозы. Парадокс, но если используется сахароза и фруктовый моносахарид в одном и том же количестве, последняий тоже будет слаще. Но по калорийности сахароза превосходит свои составляющие элементы.
Фруктовый моносахарид для врачей более привлекателен, его советуют использовать вместо сахара. Это связано с тем, что он в два раза медленнее всасывается в кровь, чем глюкоза. Время его усвоения приблизительно 20 минут. Он также не провоцирует выделение большого количества инсулина. Благодаря этому свойству диабетики могут отказаться от сахара, используя в пищу продукты на основе этого моносахарида. Это основное, чем отличается фруктоза от сахарозы и глюкозы.
Но она не такая безобидная, у многих превышение 50 г в день вызывает метеоризм и вздутие живота. Ученые заметили, что от фруктозы значительно увеличивается жировая ткань. Это связано с тем, что она перерабатывается в печени, а этот орган ограничен в возможностях переработки веществ. При поступлении большого количества моносахарида в организм, печень не справляется, и это вещество преобразовывается в жир.
Тростниковый или свекольный?
А можно заменить сахар глюкозой? Ответ зависит от того, какие цели для этого преследуется. Ведь сахароза содержит в себе и глюкозу, и фруктозу. Если в определенном случае фруктоза вредна организму, то для подслащивания еды можно использовать и одну глюкозу.
Есть ли разница между тростниковой и свекольной сахарозой? И тот, и другой сахар можно встретить в магазинах в форме кристаллов и пудры. Тростниковый сахар нередко могут продавать нерафинированным. Он будет тогда иметь не привычный белый, а коричневый цвет.
С тростниковым сахаром связано немало предубеждений. В частности, его считают более полезным для организма, нежели обычный свекольный. Но на самом деле это не так. По своим свойствам эти разновидности столовой сахарозы практически идентичны.
Есть сведения, что тростниковый сахар богат витаминами группы В. Доля правды в этом утверждении есть. Но надо отметить, что содержание витаминов здесь ничтожно мало, отчего не оказывает какого-либо влияния на организм человека.
Еще одна причина, по которой люди предпочитают тростниковый сахар свекольному, — это необычный вкус продукта. Но и тут мнения диетологов неоднозначны. Своеобразным вкусом обладает именно неочищенный, нерафинированный тростниковый сахар. Но надо помнить о том, что, не пройдя очистку, продукт может содержать в себе и вредные примеси.
Свекольный же сахар не продается в неочищенном виде. Связано с тем, что этот продукт в нерафинированном виде обладает и непрезентабельным видом, и странным вкусом.
Положительные свойства
Рассматривая фруктозу, ее пользу и вред для организма здорового человека, стоит отметить, что она довольно медленно впитывается кишечником, но при этом отлично расщепляется.
Также она имеет небольшую калорийность. Например, в её 6 граммах содержится 224 килокалории, но при этом она даёт сладость, как от 100 грамм обычного сахара, в котором содержится 400 килокалорий.
Очень хорошо фруктоза помогает восстановить силы после физических и умственных нагрузок. Это возможно благодаря тому, что в печени она накапливается в виде гликогена. Поэтому она незаменима людям, которые ведут активный образ жизни или занимаются спортом.
Так как в фруктозе не имеется консервантов, если ее добавить в выпечку, то она получается пушистой и мягкой.
Особенно видна будет польза фруктозы при употреблении ее в натуральном виде. Так употребляя фрукты, ягоды и овощи, организм получает ещё и растительные волокна, которые помогают урегулировать процесс усвоения сахара, и предотвращают избыток фруктозы в организме.
Ещё польза фруктозы заключается в том, что если ее употреблять в небольшом количестве она помогает в снижении веса. Но это происходит лишь в том случае, если не превышается суточная норма. В день рекомендуется употреблять не более 40 грамм.
Чтобы понять в организме имеется ее недостаток или переизбыток стоит обратить внимание на такие признаки. При недостатке:
При недостатке:
- слабость;
- раздражительность;
- апатия;
- нервное истощение;
- депрессия.
При избытке:
- постоянное чувство голода;
- появление лишнего веса.
Если преобладают симптомы избытка, то от данного продукта лучше отказаться, никакой пользы не будет, только вред
Если здоровому человеку использовать фруктозу вместо сахара, то её польза или вред будут видны на лишних килограммах. У неё имеется такое коварное свойство, как подавления чувства сытости. Было доказано, что если ее употреблять в неумеренных количествах, она может вызвать нарушение в выработке некоторых гормонов, что повлечет за собой пагубные последствия. А израильские учёные проведя исследования на мышах, сделали вывод, что фруктоза может привести к преждевременному старению.
О спортивном питании для бодибилдера >>
Ещё используя фруктозу вместо сахара, помимо пользы, вред данного продукта заключается в том, что чрезмерное употребление может вызывать различные заболевания печени. Она снижает уровень меди в организме, что может вызвать малокровие, что в последствии повлечет за собой жировую дистрофию печени или печеночную недостаточность.
Приносит вред она и сосудам. При регулярном употреблении фруктозы меняется уровень артериального давления, что может привести к гипертонии.
Иногда сам того не подозревая человек может страдать нарушением всасывания фруктозы. Эта проблема имеется у 30-40% людей, и лишь у половины проявляются указывающие на это симптомы. Из-за того, что она скапливается в кишечнике в большом количестве, происходит вздутие живота, повышается газообразование и может появиться диарея.
ul
Сравниваем, выбираем
Доступность
Сахар легко купить в любом магазине, будь то городской супермаркет или обычный деревенский магазин. С покупкой фруктозы в городе тоже не возникает проблем: чаще всего её можно найти в аптеках, реже, на полках магазинов.
Чем дальше от городов, тем сложнее достать фруктозу, поэтому в маленьких городках и деревнях люди обычно покупают то, что быстрее и легче достать (если нет проблем со здоровьем): сахарный песок, рафинад. Даже на витрине супермаркета, где сахарозаменитель обычно продаётся, его ещё нужно поискать. Интернет в расчёт не берём – это долго.
Цена
Вы знали, что 100 грамм сахарозаменителя стоят 30-40 рублей, а 100 грамм сахарного песка – 3-4 рубля? В 10 раз дороже обойдётся вам «забота о здоровье». Цена – это второй аргумент не «за» фруктозу.
Вкус
Как уже говорилось, фруктоза слаще сахарозы, а значит класть в пищу и напитки её нужно меньше. Но некоторые люди, по привычке кладут такое же количество сахарозаменителя, чем и вредят себе. Нормальное соотношение продуктов – 1\2, а некоторые диетологи утверждают, что 1\3.
Аллергия
Часто от сладкого у маленького ребёнка возникает диатез. Ведь сахароза — аллергенный продукт в отличие от фруктозы. Последнюю лучше давать маленьким детям с аллергией на сладкое. Взрослым тоже.
Гликемический индекс
Этот показатель хорошо знаком больным сахарным диабетом. У фруктозы индекс низкий, в отличие от сахарозы. Говоря простым языком, фруктоза сильно не повышает уровень сахара крови больного и не требует присутствия гормона инсулина, который отсутствует у диабетиков.
Кариес
Сахароза активно разрушает зубную эмаль, а фруктоза – нет. Именно сахар – главная причина кариеса. Это ли не аргумент за сахарозаменитель? Отличная экономия на лечении зубов (а лечение очень дорогое).
Как видим, 2:4 в пользу фруктозы! Но для всех ли она хороша?
Кому и в каких случаях
Несмотря на перевес в пользу фруктозы, не спешите бежать в аптеку и покупать этот сахарозаменитель, если у вас лишний вес. Как? Ведь диетологи советуют, скажете вы. Да, но в очень маленьких дозах! А люди с избыточным весом привыкли есть много. И излишек фруктозы печень превращает в жир. Поэтому, также не стоит увлекаться фруктозой людям с больной печенью.
А вот диабетикам и мамам детей с диатезом стоит воспользоваться этим сахарозаменителем. Особенно полезна она в натуральном виде – во фруктах. А что же сахар?
Больным диабетом он полезен лишь в одном случае – когда нужно срочно поднять уровень сахара в крови. Поэтому, кусочек именно этого продукта рекомендуется носить с собой диабетикам.
Сахар способен проникать в головной мозг человека без инсулина (для всех других органов нужен этот гормон), а чем больше сахара, тем лучше мозг работает, т.к. там улучшается кровообращение. Поэтому и рекомендуется съесть что-то сладкое перед экзаменом. Не повредит конфетка для поднятия настроения.
И всё же сахар вреден! Не просто так его называют «белой смертью»
С осторожностью к любимому продукту стоит относиться не только людям с избыточным весом, но и гипертоникам и людям с сердечно-сосудистыми заболеваниями. Плохо сладость влияет на почки
Исследования показали, что избыток сахарозы способен вызывать даже некоторые формы рака. Сахароза – причина ломкости костей. Дряблая кожа? Откажитесь от этого продукта! А ещё сладкое вещество способно вызывать зависимость! Сродни наркотической, алкогольной или табачной. Может вы замечали: чем больше отказываешься от сахара, тем сильнее хочется сладкого.
Не теряет актуальности фраза «всё хорошо в меру». Это касается и сахара с сахарозаменителями. Нет лучшего или худшего варианта. Каждый продукт хорош для решения определённой задачи. Просто соблюдайте меру, не перебарщивайте и тогда эти сладкие вещества пойдут вам только на пользу, а не во вред.
Профилактика гипергликемии и гипогликемии
Профилактика гипогликемии и гипергликемии требует определенного режима питания:
- Употреблять больше натуральных продуктов и избегать готовых блюд, которые богаты на транс-жиры,
- Избегать продуктов питания, которые перегружают печень,
- Употреблять больше клетчатки,
- При гипогликемии применять в пищу большое количество продуктов с протеином.
Заболевания-провокаторы отклонения от нормы глюкозы в крови:
- Патология печени гепатит,
- Болезнь печение цирроз,
- Новообразования онкологического характера в клетках печени,
- Патология в функциональности гипофиза,
- Нарушения в поджелудочной железе.
Огромное значение в профилактике отклонения глюкозы в составе крови играет здоровый образ жизни. Пагубные привычки, стрессовые ситуации, перегрузка организма, негативно влияют как на повышение сахара, так и на его снижение.
Что такое сахароза
Сахароза считается дисахаридом, который состоит из глюкозы и фруктозы. То есть это обычный столовый сахар. На вкус сахароза менее сладкая, чем фруктоза, но более сладкая, чем глюкоза.
Сахароза используется в самых разных продуктах: напитки, выпечка, конфеты, мороженое, кетчупы, консервации, приправы и многое другое.
Получают сахар в основном из сахарной свеклы и сахарного тростника. В виде песка или рафинада его добавляют в чай, каши и десерты. Нерафинированный сахар содержит витамины и минералы, а значит, в нем больше пользы.
Рафинированный белый сахар – это сахар, из которого выпарили все, что можно. Образно говоря, «всю душу» его выпарили, забрали его жизнь. Он настолько мертв, что в нем даже жучки никогда не заведутся…
Чрезмерное увлечение рафинированным белым сахаром оборачивается инсулиновыми скачками крови. Также белый сахар повышает кислотную среду организма и его усвоение проходит с большой потерей кальция. Это является причиной кариеса.
Сюда же можно добавить беспричинные воспалительные процессы в организме, развитие аутоимунных заболеваний и испорченную поджелудочную железу. К слову сказать, одна чайная ложка белого сахара отключает иммунитет на 4 часа.
По рекомендации Всемирной организации здравоохранения употреблять сахар следует не более 25-50гр в сутки. Но по некоторым оценкам, современный человек может превышать эту норму чуть ли не в 60 раз!
Промышленные продукты с добавлением белого сахара сегодня не только в изобилии, но и в легком доступе. Кафе и рестораны щедро используют его в самых разных блюдах, привлекая к себе все больше клиентов. Неудивительно, что у многих развивается зависимость от сахара.
Кстати, безмерное употребление полезного нерафинированного сахара тоже не пророчит ничего хорошего для здоровья. Все должно быть в меру.
Чтобы употреблять сахарозу безопасным способом, лучше есть цельные необработанные продукты. Например, фрукты, овощи, цельные крупы, цельнозерновой хлеб. А чай и кофе можно научиться пить без сахара. Это дает возможность лучше прочувствовать настоящий вкус таких напитков.
Источники сахарозы:
- фрукты
- овощи
- Злаки
- Молоко растительного происхождения
- Сладости промышленного производства
Все сахара в избыточном количестве способны принести вред здоровью. Помни, даже от воды можно умереть, если выпить ее слишком много.
Мудрым будет воздерживаться от дополнительного употребления рафинированного сахара. И в то же время, не стоит бояться сахаров, которые содержатся в свежих овощах и фруктах.
Там они вкупе с водой, клетчаткой, пектином, поэтому их усвоение не причинит таких потерь и проблем, как рафинированная еда. Употребление цельных продуктов – хорошая привычка здорового питания.
Если у тебя патологическое влечение к сладкому, проверь, есть ли в твоем рационе цельные крупы, молодой картофель, цельнозерновой хлеб, а также фрукты, овощи и зелень
Важно обязательно получать сахара из здоровых продуктов
Основная часть суточного количества калорий восполняется именно углеводами. Поэтому при отсутствии особых показаний врача не обрекай себя на низкоуглеводную диету. Это чревато опасными последствиями для здоровья.
Питание мозга на 80% состоит из глюкозы и только 20% из аминокислот. Сахара это энергия, это хорошее настроение.
Учитывай главное: продукт, выращенный на земле, всегда будет полезнее продукта, приготовленного на заводе. Еда, приготовленная дома всегда будет полезнее еды, приготовленной в кафе.
Просто делай выбор в пользу себя и своего здоровья, когда есть возможность. Убедись, что этот выбор не делает за тебя кто-то другой. Внимательно читай состав продуктов. Выбирай вредные сладости в пользу полезных сладостей.
Так ты станешь диетологом для самой себя. А глюкоза, фруктоза и сахароза станут для тебя друзьями.
Как называются сахароза, глюкоза и фруктоза?
Как мы уже сказали, для того, чтобы внести свой вклад в ваш выбор того, какой тип сахара вам следует потреблять, в принципе рекомендуется дать определение терминам сахароза, глюкоза и фруктоза. Это поможет вам осмыслить различия между ними, чтобы выбрать, какой тип вы будете употреблять и в какой степени.
1.1 Сахароза
Вы слышали слово сахароза? Это сахар в общем употреблении , более известный под названием столовый сахар, который обычно кладут в кафе или рестораны, чтобы вы могли подсластить свой напиток по вкусу.
Имейте в виду, что сахароза, глюкоза и фруктоза – это три типа сахара, которые содержат одинаковое количество калорий. Однако сахароза или столовый сахар представляет собой комбинацию двух разных углеводов: молекулы фруктозы и молекулы глюкозы, поэтому он является частью дисахаридов (объединение двух неделимых молекул сахара), что делает его более тяжелым при переваривании.
Важно отметить, что употребление фруктозы и глюкозы вместе может нанести вред вашему здоровью больше, чем есть их по отдельности

1.2 Фруктоза
Фруктоза – это сахар, который естественным образом содержится во многих продуктах питания, таких как фрукты и овощи, а также в некоторых обработанных пищевых продуктах, таких как кукурузный сироп или некоторые консервы.
Этот тип натуральных углеводов не повышает уровень глюкозы в крови в большей степени, поэтому для его обработки организм не требует инсулина. Поэтому обычно наиболее переносимый сахар людьми с диабетом .
Однако, не стимулируя секрецию гормонов аппетита и сытости, он может вызвать чувство голода, увеличивая тягу к сахару. Кроме того, тело имеет тенденцию накапливать его, и он превращается в жир, и отсюда возникает проблема лишнего веса.

1.3 Глюкоза
Обычно глюкоза связывается с другим простым сахаром (моносахаридом) с образованием сахарозы или лактозы, и его часто добавляют в обработанные пищевые продукты в виде декстроза , который извлекается из кукурузного крахмала.
Научно доказано, что глюкоза – основной источник энергии для многих живых организмов, включая ваше тело, поскольку большинство потребляемых сахаров и сложных углеводов, таких как крахмал (компонент макарон, хлеба или картофеля), расщепляются пищеварительной системой, образуя декстрозу.
Хотя организму нужна глюкоза для работы как физически, так и умственно, высокий уровень глюкозы в крови вреден , приводящие к таким заболеваниям, как диабет . Учтите, что у человека могут быть проблемы со здоровьем. если у них очень низкий или очень высокий уровень сахара в крови, и соблюдение режима питания и физической активности помогает предотвратить это.
Кроме того, избыток глюкозы портит коллаген , который ускоряет старение тканей вашего тела.

Почему падает глюкоза гипогликемия
Самой распространенной причиной низкой концентрации глюкозы в составе крови есть голодание.
Также существуют причины развития заболевания гипогликемия, когда желудок не наполнен:
- Длительный период времени без еды,
- Прием малого количества еды (недоедание),
- Не употребление в пищу совсем углеводов,
- Обезвоживание организма,
- Алкогольное возлияние,
- Реакция на прием некоторых медикаментозных средств,
- Передозировка препаратом инсулин (у диабетиков),
- Употребление медикаментозных препаратов совместно с алкоголем,
- Недостаточность почечного характера,
- Высокие нагрузки,
- Патология в выработке гормонов, и повышенный выброс в кровь инсулина,
- Новообразования злокачественного характера в поджелудочной железе.
Отказ от употребления углеводов тоже не приводит к нормальному состоянию организма. За содержание в организме глюкозы отвечают многие гормоны. Снизить ее в организме может только инсулин, а повысить могут многие. Поэтому для здорового организма в нем должен быть баланс.
Средняя форма падения глюкозы, когда уровень опускается до 3 ммоль/л, а также немного ниже этого индекса.
Тяжелая форма, когда глюкоза понижена и коэффициент опускается до 2 ммоль/л, а также немного ниже этого показателя. Эта стадия довольно опасна для жизни человека.
Повысить уровень глюкозы можно при помощи диеты.
Диета при низком сахаре включает в свое меню употребление цельно зерновой хлеб, рыбу и мясо нежирных сортов, кисломолочные продукты, пищевые продукты морского происхождения.
Фруктовые соки, чаи из целебных трав способны не только корректировать коэффициент глюкозы, но и благоприятно влиять на всю иммунную систему.
Суточный коэффициент калорийности не менее 2100 ккал, и не должен превышать 2700 ккал. Такое питание сможет наладить показатель глюкозы в организме и позволит сбросить несколько килограмм лишнего веса.
Симптомы гипогликемии




























