Напряжение между обкладками
В самом начале переходного периода зарядки, напряжение между обкладками конденсатора равняется нулю. Как только на обкладках начинают появляться заряженные частицы, между разноименными зарядами возникает напряжение. Причиной этому является диэлектрик между пластинами, который «мешает» стремящимся друг к другу зарядам с противоположным знаком перейти на другую сторону конденсатора.
На начальном этапе зарядки, напряжение быстро растет, потому что большой ток очень быстро увеличивает количество заряженных частиц на обкладках. Чем больше заряжается конденсатор, тем меньше ток, и тeм медленнее растет напряжение. В конце переходного периода, напряжение на конденсаторе полностью прекратит рост, и будет равняться напряжению на источнике питания.

Как видно на графике, сила тока конденсатора напрямую зависит от изменения напряжения.
Формула для нахождения тока конденсатора во время переходного периода:
Ic — ток конденсатора
C — Емкость конденсатора
Vc/t – Изменение напряжения на конденсаторе за отрезок времени
Классификация
Пластины конденсатора называются обкладками, потому что в различных видах радиоприборов пластины используются не всегда.

Конденсаторы бывают нескольких видов по конструкции:
- Алюминиевые электролитические конденсаторы. Вместо пластин используется алюминиевая фольга. В качестве другой обкладки используется жидкий электролит. В качестве разделителя используется диэлектрик, представляющий собой оксидную пленку на фольге из алюминия. Недостатком такого конденсатора является паразитная индуктивность – из-за обкладки, свернутой в рулон.
- Танталовые или ниобиевые. В качестве анода выступает танталовая губка, находящаяся в среде электролита. Такие конденсаторы используются в высокочастотных цепях.
- Керамические конденсаторы. Разделяются на дисковые и многослойные. Они имеют меньшие емкости, но более надежны в работе. Недостатком является то, что керамика очень подвержена термическому воздействию, и при перепаде температур емкость прибора меняется.
- Пленочные конденсаторы лишены недостатков керамических. В качестве диэлектрика используются пленка из различных материалов. Это полипропилен, полистирол и др. Такие конденсаторы хорошо удерживают емкость, не создают индуктивность, могут самовосстанавливаться и очень надежны.

По сферам применения конденсаторы делятся на классы:
- пусковые;
- сглаживающие;
- баластные;
- разделительные или межконтактные.

Как работает конденсатор
В сравнении с обычной батареей, конденсатор имеет существенные отличия. У него совершенно другая максимальная емкость, а также скорость зарядки и разрядки.

При подключении к источнику питания в самом начале ток зарядки будет иметь максимальное значение. Однако, по мере того, как заряд накапливается, наблюдается постепенное уменьшение тока, который полностью пропадает при полном заряде. Напряжение во время зарядки, наоборот, увеличивается и по окончании процесса становится равным напряжению в источнике питания.

Обозначение конденсаторов на схеме.
В случае подключения нагрузки при отключенном источнике питания, конденсатор сам становится источником тока. В этот момент, между пластинами происходит образование цепи. Через нагрузку происходит движение отрицательно заряженных электронов к ионам, обладающим положительным зарядом. В данном случае, вступает в силу закон притяжения разноименных зарядов. При прохождении тока через нагрузку происходит постепенная потеря заряда и, в конечном итоге, разрядка конденсатора. Одновременно, снижается напряжение и ток. Процесс разрядки считается завершенным, когда напряжение на электродах будет равным нулю.

Время зарядки полностью зависит от величины , а время его разрядки находится в зависимости от величины подключаемой нагрузки.
Неполярные конденсаторы
К неполярным конденсаторам относят конденсаторы, для которых неважна полярность. Такие конденсаторы обладают симметричностью. Обозначение неполярных конденсаторов на электросхемах выглядит вот так.
обозначение конденсатора на схеме
Конденсаторы переменной емкости
Эти виды конденсаторов имеют воздушный диэлектрик и могут менять свою емкость под действием внешней силы, например, такой как рука человека. Ниже на фото советские типы таких переменных конденсаторов.
 
 переменные конденсаторы
Современные выглядят чуточку красивее
подстроечные конденсаторы
Переменный конденсатор от подстроечного отличается лишь тем, что переменный конденсатор крутят чаще, чем подстроечный. Подстроечный крутят раз в жизни)
На схемах обозначаются так.
  переменный конденсатор обозначение на схеме
переменный конденсатор обозначение на схеме
Слева -переменный, справа — подстроечный.
Пленочные конденсаторы
Пленочные конденсаторы являются самыми распространенными в большом семействе конденсаторов. Они названы так потому, что вместо диэлектрика здесь используется тонкая пленка, которая может состоять из полиэстера, полипропилена, поликарбоната, тефлона и много еще из чего. Такие конденсаторы идут от номинала 5 пФ и до 100 мкФ. Они могут быть сделаны по принципу бетерброда

А также по принципу рулета

Давайте рассмотрим К73-9 советский пленочный конденсатор.
  к73-9 советский конденсатор
к73-9 советский конденсатор
Что же у него внутри? Смотрим.

Как и ожидалось, рулончик из фольги с диэлектриком-пленкой
  что внутри конденсатора
что внутри конденсатора
Керамические конденсаторы
Керамические конденсаторы — это конденсаторы, которые изготавливают из керамики или фарфора, которые покрывают серебром. Берут диск квадратной или круглой формы, напыляют с с двух сторон серебро, выводят выводы и вуаля! Конденсатор готов! То есть и есть самый простой плоский конденсатор, о котором мы говорили выше в этой статье.
Хотите получишь емкость больше? Не вопрос! Складываем диски в бутерброд и увеличиваем емкость
Выглядеть керамические конденсаторы могут вот так:
 
 керамические конденсаторы керамические каплевидные конденсаторы
керамические каплевидные конденсаторы
SMD конденсаторы
SMD конденсаторы — это керамические конденсаторы, которые построены по принципу бутерброда.
  строение SMD конденсатора
строение SMD конденсатора
Они используются в микроэлектронике, так как обладают крошечными размерами и удобны в плане промышленного производства с помощью роботов, которые автоматически расставляют SMD компоненты на плату.Такой тип конденсаторов вы без труда можете найти на платах своих мобильных телефонов, на материнских платах компьютеров, а также в современных гаджетах.
Где применяются конденсаторы
Работа электронных, радиотехнических и электрических устройств невозможна без конденсаторов.
В электротехнике их используют для сдвига фаз при запуске асинхронных двигателей. Без сдвига фаз трехфазный асинхронный двигатель в переменной однофазной сети не функционирует.
Конденсаторы с ёмкостью в несколько фарад — ионисторы, используются в электромобилях, как источники питания двигателя.

Для понимания, зачем нужен конденсатор, нужно знать, что 10-12% измерительных устройств работают по принципу изменения электрической ёмкости при изменении параметров внешней среды. Реакция ёмкости специальных приборов используется для:
- регистрации слабых перемещений через увеличение или уменьшение расстояния между обкладками;
- определения влажности с помощью фиксирования изменений сопротивления диэлектрика;
- измерения уровня жидкости, которая меняет ёмкость элемента при заполнении.
Трудно представить, как конструируют автоматику и релейную защиту без конденсаторов. Некоторые логики защит учитывают кратность перезаряда прибора.
Ёмкостные элементы используются в схемах устройств мобильной связи, радио и телевизионной техники. Конденсаторы применяют в:
- усилителях высоких и низких частот;
- блоках питания;
- частотных фильтрах;
- усилителях звука;
- процессорах и других микросхемах.

Легко найти ответ на вопрос, для чего нужен конденсатор, если посмотреть на электрические схемы электронных устройств.
Электроемкость конденсатора
Логично предположить, что разные конденсаторы по-разному будут накапливать заряд. Как охарактеризовать эту способность прибора? Для этого существует специальная величина — электроемкость (или просто емкость) конденсатора.
Чтобы понять смысл этой величины, рассмотрим опыт. Возьмем две металлические пластины и установим их на изолированных подставках друг напротив друга.
Подключим к пластинам электрометр. Этот прибор (рисунок 4) по своему устройству и принципу действия схож с электроскопом. Он позволит нам зафиксировать значения напряжения, которое возникнет между пластинами.
Рисунок 4. Электрометр
Итак, одну из пластин (A) мы соединим проводом со стержнем электрометра, а другую (B) соединим с корпусом прибора (заземлим). Коснемся положительно наэлектризованной стеклянной палочкой внешней стороны пластины A (рисунок 5).
Рисунок 5. Электризация одной пластины конденсатора
Мы сообщили пластине A положительный заряд $+q$. Вокруг этого заряда (пластины A) теперь существует электрическое поле. Под его действием произойдет перераспределение зарядов в пластине B. Отрицательные заряды перейдут на внутреннюю сторону пластины, а положительные — на внешнюю.
Помните, что мы заземлили пластину B? За счет этого на пластину пойдут свободные электроны с земли. Они нейтрализуют положительный заряд на внешней стороне пластины. Таким образом, мы получили на пластине B отрицательный заряд $-q$ (рисунок 6). По величине он равен заряду на другой пластине.
Рисунок 6. Результат электризации пластины конденсатора
Стрелка электрометра отклонилась. Зафиксируем это значение напряжения между пластинами. Далее мы снова сообщим заряд пластине B, равный по величине первому сообщаемому заряду. Потом сообщим третий и четвертый такие же заряды, наблюдая за стрелкой электрометра.
Вы увидите, что при увеличении заряда в 2, 3, 4 раза, соответственно, в 2, 3, 4 раза увеличиваются показания электрометра — напряжение между пластинами
Важно отметить, что отношение заряда к напряжению при этом будет постоянно:$\frac{q}{U} = \frac{2q}{2U} = \frac{3q}{3U} = \frac{4q}{4U} = const$
Теперь мы можем дать определение электроемкости конденсатора.
{"questions":,"explanations":,"answer":}}}]}Устройство и назначение конденсатора
Конденсатор – это теплообменный блок, в котором происходит переход хладагента из газообразного состояния в жидкое. При этом тепло от сжатых паров хладагента отдается охлаждающей среде. Таким образом происходит снижение температуры хладагента и его конденсация. Чаще всего в качестве охлаждающей среды применяют воздух или воду.
 
Следовательно, конденсатор предназначен для охлаждения парообразного хладагента и сжижения при высоком давлении. Для различных марок хладагентов температура конденсации составляет от 70 0С до 30 0С. Так как конденсатор обладает достаточно небольшими габаритными размерами и устроен достаточно компактно, то весь процесс охлаждения и конденсации паров хладагента должен происходить быстро.
Этого добиваются специальной конструкцией теплообменника. Обычно он представляет собой змеевик, выполненный из медных, алюминиевых или стальных трубок. Для улучшения теплообмена также используются трубчатые или пластинчатые конденсаторы с оребрением алюминиевыми пластинами.
Благодаря тому, как устроен конденсатор, он выполняет две немаловажные функции. Во-первых, он обеспечивает постепенное охлаждение сжатых паров и их равномерную конденсацию. Во-вторых, после перехода хладагента в жидкое состояние происходит его охлаждение с одновременным снижением давления в системе.
Назначение конденсатора и принцип его работы
Конденсатор (от латинского слова «condensare» — «уплотнять», «сгущать») — это двухполюсное устройство с определённой величиной или переменным значением ёмкости и малой проводимостью, которое способно сосредотачивать, накапливать и отдавать другим элементам электрической цепи заряд электрического тока.
Конденсатор или как его еще называют сокращенно просто «кондер» — это элемент электрической цепи, состоящий в самом простом варианте из двух электродов в форме пластин (или обкладок), которые накапливают противоположные разряды и поэтому они разделены между собой диэлектриком малой толщины по сравнению с размерами самих электропроводящих обкладок.На практике же, все выпускаемые конденсаторы представляют собой многослойные рулоны лент электродов в форме цилиндра или параллелепипеда, разделенных между собой слоями диэлектрика.
Соединение конденсаторов
Существует два способа соединения: параллельное и последовательное. При параллельном соединении общая ёмкость равна сумме ёмкостей отдельных элементов: Собщ. = С1 + С2 + … + Сn.
Для последовательного соединения расчёт ёмкости рассчитывается по формуле: Cобщ. = ( C1* C2 *…* Cm ) / ( C1 + C2+…+Cn )
Применение
Конденсаторы применяются почти во всех областях электротехники. Перечислим лишь некоторые из них:
- построение цепей обратной связи, фильтров, колебательных контуров;
- использование в качестве элемента памяти;
- для компенсации реактивной мощности;
- для реализации логики в некоторых видах защит;
- в качестве датчика для измерения уровня жидкости;
- для запуска электродвигателей в однофазных сетях переменного тока.
С помощью этого радиоэлектронного элемента можно получать импульсы большой мощности, что используется, например, в фотовспышках, в системах зажигания карбюраторных двигателей.
Помогла вам статья?
Да1Нет
Назначение и использование конденсаторов
В настоящее время их используют практически во всех радиотехнических и различных электронных схемах.
 В электроцепи переменного тока они могут выступать в качестве ёмкостного сопротивления. К примеру, при подключении конденсатора и лампочки к батарейке (постоянный ток), лампочка светиться не будет. Если же подключить такую цепь к источнику переменного тока, лампочка будет светиться, причем интенсивность света будет напрямую зависеть от величины ёмкости используемого конденсатора. Благодаря этим особенностям, они сегодня повсеместно применяются в цепях в качестве фильтров, подавляющих высокочастотные и низкочастотные помехи.
Конденсаторы также используются в различных электромагнитных ускорителях, фотовспышках и лазерах, благодаря способности накапливать большой электрический заряд и быстро передавать его другим элементам сети с низким сопротивлением, за счет чего создается мощный импульс.
Во вторичных источниках электрического питания их применяют для сглаживания пульсаций при выпрямлении напряжения.
Способность сохранять заряд длительное время дает возможность использовать их для хранения информации.
Использование резистора или генератора тока в цепи с конденсатором позволяет увеличить время заряда и разряда ёмкости устройства, благодаря чему эти схемы можно использовать для создания времязадающих цепей, не предъявляющих высоких требований к временной стабильности.
В различной электрической технике и в фильтрах высших гармоник данный элемент применяется для компенсации реактивной мощности.
Что такое конденсатор
Конденсатор или как в народе говорят — «кондер», образуются от латинского «condensatus», что означает как «уплотненный, сгущенный». Он представляет из себя пассивный радиоэлемент, который обладает таким свойством, как сохранение электрического заряда на своих обкладках, если, конечно, перед этим его зарядить каким-нибудь источником питания.
Грубо говоря, конденсатор можно рассматривать как батарейку или аккумулятор электрической энергии. Но вся разница в том, что аккумулятор или батарейка имеют в своем составе источник ЭДС, тогда как конденсатор лишен этого внутреннего источника.
Плоский конденсатор и его емкость
Плоским конденсатором называют конденсатор, который состоит из двух одинаковых пластин, которые параллельны друг другу. Пластины могут быть разной формы. На практике чаще всего можно встретить квадратные, прямоугольные и круглые пластины. Давайте рассмотрим простой плоский квадратный конденсатор.
плоский конденсатор
где
d — расстояние между пластинами конденсатора, м
S — площадь самой наименьшей пластины, м2
ε — диэлектрическая проницаемость диэлектрика между обкладками конденсатора
Готовая формула для плоского конденсатора будет выглядеть так:
где
С — емкость конденсатора, ф
ε — диэлектрическая проницаемость диэлектрика
ε — диэлектрическая постоянная, ф/м
S — площадь самой наименьшей пластины, м2
d — расстояние между пластинами, м
Да, знаю, у вас сразу возникает вопрос: «А что такое диэлектрическая постоянная?» Диэлектрическая постоянная — это постоянная величина, которая нужная для вычислений в некоторых формулах электромагнетизма. Ее значение равняется 8, 854 × 10-12 ф/м.
Диэлектрическая проницаемость — эта величина зависит от типа диэлектрика, который находится между обкладками конденсатора. Например, для воздуха и вакуума это значение равняется 1, для некоторых других веществ можете посмотреть в таблице.

Какой можно сделать вывод из этой формулы? Хотите сделать конденсатор с огромной емкостью, делайте площадь пластин как можно больше, расстояние между пластинами как можно меньше и заправляйте вместо диэлектрика дистиллированную воду.
В настоящее время конденсаторы делают из нескольких пластин в виде слоеного торта. Это примерно выглядит вот так.
многослойный конденсатор
В этом случае формула такого конденсатора примет вид:
  формула многослойного конденсатора
формула многослойного конденсатора
где n — это количество пластин
Основные характеристики и свойства

К параметрам конденсатора, которые используют для создания и ремонта электронных устройств, относят:
- Ёмкость — С. Определяет количество заряда, которое удерживает прибор. На корпусе указывается значение номинальной ёмкости. Для создания требуемых значений элементы включают в цепь параллельно или последовательно. Эксплуатационные величины не совпадают с расчетными.
- Резонансная частота — fр. Если частота тока больше резонансной, то проявляются индуктивные свойства элемента. Это затрудняет работу. Чтобы обеспечить расчетную мощность в цепи, конденсатор разумно использовать на частотах меньше резонансных значений.
- Номинальное напряжение — Uн. Для предупреждения пробоя элемента рабочее напряжение устанавливают меньше номинального. Параметр указывается на корпусе конденсатора.
- Полярность. При неверном подключении произойдет пробой и выход из строя.
- Электрическое сопротивление изоляции — Rd. Определяет ток утечки прибора. В устройствах детали располагаются близко друг к другу. При высоком токе утечки возможны паразитные связи в цепях. Это приводит к неисправностям. Ток утечки ухудшает емкостные свойства элемента.
- Температурный коэффициент — TKE. Значение определяет, как ёмкость прибора меняется при колебаниях температуры среды. Параметр используют, когда разрабатывают устройства для эксплуатации в тяжелых климатических условиях.
- Паразитный пьезоэффект. Некоторые типы конденсаторов при деформации создают шумы в устройствах.
Основные характеристики
К основным характеристикам накопителей относятся следующие:
- Ёмкость – это способность конденсатора к накоплению электрического заряда определенной величины. Измеряется емкость в Фарадах.
- Удельная ёмкость – соотношение емкости к объему (массе) диэлектрика.
- Плотность энергии – соотношение выделяемой при разряде накопителя энергии к его объему. Выражается в Дж/кг или Дж/л.
- Номинальное (рабочее) напряжение – разность потенциалов, при которой накопитель наиболее эффективно выполняет свои функции. Измеряется в вольтах (В).
- Опасность разрушения (взрыва) – данная характеристика оценивает вероятность разрушения конденсатора в процессе работы.
На заметку. Современные накопители имеют емкость значительно меньше 1 Фарада. Основными единицами измерения, используемыми для данных конденсаторов, являются нано,- пико,- и микрофарады.
Основными критериями, используемыми при классификации конденсаторов, являются их полярность, материал диэлектрика, форма корпуса, возможность изменения емкости.
В зависимости от полярности, накопители бывают двух видов:
- Полярные – электролитические накопители, одна из обкладок которых является анодом, вторая – катодом. Используются только в электрической цепи, подключенной к источнику питания постоянного тока. Несоблюдение полярности при подключении такого накопителя может привести к выходу его из строя.
- Неполярные – накопители, которые не имеют полярности подключения электродов. Используются в цепях, запитываемых переменным током.
В зависимости от материала диэлектрика:
- Танталовые;
- Ниобиевые;
- Керамические;
- Полиэтилентерефталатные;
- Полиамидные (пленочный тип);
- Полипропиленовые.
Реже встречаются старые советские конденсаторы с диэлектриком из слюды или промасленной бумаги.
По форме корпуса накопитель может быть:
- Цилиндрический;
- Плоский;
- Шарообразный.
В зависимости от возможности изменения емкости конденсаторы бывают:
- Постоянные – наиболее многочисленный и распространённый вид накопителей, обладающих постоянной емкостью.
- Переменные – регулировка ёмкости таких устройств производится механически или с помощью изменения напряжения, температуры.
- Посдстроечные – емкость таких накопителей регулируется до включения аппаратуры, в которой они установлены.
Работа конденсатора в электрической цепи
Уже давно мы отошли от понимания электричества в терминах движения, действия зарядов и так далее. Теперь мы мыслим понятиями электрических цепей, где обычными вещами являются напряжения, токи, мощность. И к рассмотрению поведения зарядов прибегаем только, чтобы понять, как работает в цепи какое-нибудь устройство.
Например, конденсатор в простейшей цепи постоянного электрического тока является просто разрывом. Обкладки ведь не соприкасаются друг с другом. Поэтому, чтобы понять принцип действия конденсатора в цепи, придется все-таки вернуться к поведению зарядов.
Зарядка конденсатора
Соберем простую электрическую цепь, состоящую из аккумулятора, конденсатора, резистора и переключателя.
ε c – ЭДС аккумулятора, C – конденсатор, R – резистор, K – переключатель
Когда переключатель никуда не включен, тока в цепи нет. Если подключить его к контакту 1, то напряжение с аккумулятора попадет на конденсатор. Конденсатор начнет заряжаться настолько, насколько хватит его емкости. В цепи потечет ток заряда, который сначала будет довольно большим, а по мере зарядки конденсатора будет уменьшаться, пока совсем не сойдет на нуль.
Конденсатор при этом приобретет заряд такого же знака, как и сам аккумулятор. Разомкнув теперь переключатель К, получим разорванную цепь, но в ней стало два источник энергии: аккумулятор и конденсатор.
Разрядка конденсатора
Если теперь перевести переключатель в положение 2, то заряд, накопленный на обкладках конденсатора, начнет разряжаться через сопротивление R.
Причем, сначала, при максимальном напряжении, и ток будет максимальным, величину которого можно вычислить, зная напряжение на конденсаторе, по закону Ома. Ток будет течь, то есть конденсатор будет разряжаться, а напряжение его падать. Соответственно и ток будет все меньше и меньше. И когда в конденсаторе заряда совсем не останется, ток прекратится.
У ситуации, описанной в этих двух случаях, есть интересные особенности:
- Электрическая батарея постоянного напряжения, работая в цепи с конденсатором, дает, тем не менее, переменный ток: при зарядке он изменяется от максимального значения до 0.
- Конденсатор, имея некоторый заряд, при разряжении через резистор, даст тоже переменный ток, изменяющийся от максимального значения до 0.
- В обоих случаях после непродолжительного действия ток прекращается. Конденсатор в обоих случаях после этого демонстрирует разрыв в цепи – ток больше не течет.
Описанные процессы называются переходными. Они имеют место в электрических цепях с постоянным напряжением питания, когда в них установлены реактивные элементы. После прохождения переходных процессов реактивные элементы перестают влиять на режимы токов и напряжений в электрической цепи. Время, в течение которого переходный процесс завершается, зависит как от емкости конденсатора C, так и от активного сопротивления нагрузки R. Очевидно, что чем они больше, тем больше нужен и интервал времени, пока переходный процесс не завершится.
Параметр, характеризующий время переходного процесса, называется «постоянной времени» для данной схемы, обозначается греческой буквой «тау»:
Произведение сопротивления в омах на емкость в фарадах, если рассмотреть внимательно эти единицы измерения, действительно дает величину в секундах.
Однако переходный процесс разрядки конденсатора – это процесс плавный. То есть, грубо говоря, он не заканчивается никогда.
U c – напряжение на конденсаторе (вольт), U 0 – первоначальное напряжение заряженного конденсатора, t – время (сек)
На рисунке видно, что конденсатор будет разряжаться «всегда», так как чем меньше на нем остается зарядов, тем меньший ток будет бежать по цепи, следовательно, тем медленнее будет идти процесс разрядки. Процесс экспоненциальный. По времени отложены значения в секундах величин, кратных постоянной времени. С некоторых значений можно считать процесс практически законченным, например, при 5t, когда напряжения на конденсаторе осталось порядка 0,7%.
Режим, когда переходный процесс завершен, называется стационарным, или режимом постоянного тока.
Как работает конденсатор
В сравнении с обычной батареей, конденсатор имеет существенные отличия. У него совершенно другая максимальная емкость, а также скорость зарядки и разрядки.

При подключении к источнику питания в самом начале ток зарядки будет иметь максимальное значение. Однако, по мере того, как заряд накапливается, наблюдается постепенное уменьшение тока, который полностью пропадает при полном заряде. Напряжение во время зарядки, наоборот, увеличивается и по окончании процесса становится равным напряжению в источнике питания.

Обозначение конденсаторов на схеме.
В случае подключения нагрузки при отключенном источнике питания, конденсатор сам становится источником тока. В этот момент, между пластинами происходит образование цепи. Через нагрузку происходит движение отрицательно заряженных электронов к ионам, обладающим положительным зарядом. В данном случае, вступает в силу закон притяжения разноименных зарядов. При прохождении тока через нагрузку происходит постепенная потеря заряда и, в конечном итоге, разрядка конденсатора. Одновременно, снижается напряжение и ток. Процесс разрядки считается завершенным, когда напряжение на электродах будет равным нулю.

Время зарядки полностью зависит от величины , а время его разрядки находится в зависимости от величины подключаемой нагрузки.
Применение конденсаторов
Конденсаторы, так же как транзисторы и , нашли широкое применение для электронных и радиотехнических схем. В электрических цепях они играют роль емкостного сопротивления. Благодаря способности к быстрой разрядке и созданию импульсов, они применяются в конструкциях фотовспышек, лазерах и ускорителях электромагнитного типа.
Очень эффективны конденсаторы при переключении электродвигателя с 380 на 220 вольт. Во время переключения к третьему выводу, происходит сдвиг фазы на 90 градусов. Таким образом, появляется возможность подключения трехфазного двигателя в однофазную сеть.
Разряд конденсатора
После того как конденсатор зарядился, отключим источник питания и подключим нагрузку R. Так как конденсатор уже заряжен, он сам превратился в источник питания. Нагрузка R образовала проход между пластинами. Отрицательно заряженные электроны, накопленные на одной пластине, согласно силе притяжения между разноименными зарядами, двинутся в сторону положительно заряженных ионов на другой пластине.

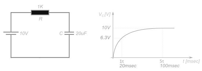
В момент подключения R, напряжение на конденсаторе то же, что и после окончания переходного периода зарядки. Начальный ток по закону Ома будет равняться напряжению на обкладках, разделенном на сопротивление нагрузки.

Как только в цепи пойдет ток, конденсатор начнет разряжаться. По мере потери заряда, напряжение начнет падать. Следовательно, ток тоже упадет. По мере понижения значений напряжения и тока, будет снижаться их скорость падения.


Время зарядки и разрядки конденсатора зависит от двух параметров – емкости конденсатора C и общего сопротивления в цепи R. Чем больше емкость конденсатора, тем большее количество заряда должно пройти по цепи, и тем больше времени потребует процесс зарядки/разрядки ( ток определяется как количество заряда, прошедшего по проводнику за единицу времени). Чем больше сопротивление R, тем меньше ток. Соответственно, больше времени потребуется на зарядку.
Продукт RC (сопротивление, умноженное на емкость) формирует временную константу ? (тау). За один ? конденсатор заряжается или разряжается на 63%. За пять ? конденсатор заряжается или разряжается полностью.
Для наглядности подставим значения: конденсатор емкостью в 20 микрофарад, сопротивление в 1 килоом и источник питания в 10В. Процесс заряда будет выглядеть следующим образом:
 Макс Невелов
 Макс Невелов ![Конденсаторы: электролитические и керамические, ёмкость и заряд [амперка / вики]](https://otlichaet.com/wp-content/uploads/a/a/c/aacf5033bcb034730308f849d2c1d652.jpeg)






















