💥 Часто задаваемые вопросы на тему преобразования градусов Фаренгейта в градусы Цельсия

Вопросы о преобразовании градусов Фаренгейта в градусы Цельсия являются довольно частыми среди людей, особенно когда речь идет о международных путешествиях, координировании погоды или изучении климатических условий разных стран. В данной статье мы постараемся ответить на наиболее распространенные вопросы об этом конвертере температуры и предоставить конкретные примеры, несколько исследований и ссылки на полезные ресурсы.
Что такое градус Фаренгейта и градус Цельсия?
Градус Фаренгейта (°F) — единица измерения температуры, которую широко используют в США и некоторых других странах. Градус Цельсия (°C) — международная единица измерения температуры, используемая в большинстве стран мира.
Как выполнить преобразование градусов Фаренгейта в градусы Цельсия?
Для преобразования градусов Фаренгейта в градусы Цельсия используется следующая формула: Цельсий = (Фаренгейт — 32) * 5/9. Например, если у вас есть значение температуры 68 °F, используя эту формулу, мы получаем следующий результат: (68 — 32) * 5/9 = 20 °C.
Как выполнить преобразование градусов Цельсия в градусы Фаренгейта?
Также существует формула для преобразования градусов Цельсия в градусы Фаренгейта: Фаренгейт = (Цельсий * 9/5) + 32. Для примера, если у вас есть значение температуры 20 °C, применяя эту формулу, мы получаем следующий результат: (20 * 9/5) + 32 = 68 °F.
Как правильно округлить результат преобразования?
При округлении результата преобразования градусов Фаренгейта в градусы Цельсия (и наоборот), следует придерживаться общепринятых правил округления. Обычно используется округление до ближайшего целого значения или округление до одного знака после запятой.
В заключение, преобразование градусов Фаренгейта в градусы Цельсия и наоборот — это важный навык, который может быть полезен в различных ситуациях. В данной статье были приведены простые формулы и способы выполнения преобразования температуры, а также указаны ресурсы, где можно найти более подробную информацию.
Две шкалы
Первые две единицы используют разные методы измерения. По Цельсию вода замерзает при 0 градусов, а по Фаренгейту — при 32 градусах. И самое забавное, что обе шкалы сходятся и находят одну и ту же ртутную точку при температуре -40 градусов.
Объяснение этого интересного явления заключается в том, что единица Цельсия больше единицы Фаренгейта, но обе они сходятся в одной точке
Чтобы представить эту идею и объяснить это явление, нужно показать, что на самом деле происходит на другой стороне и на что нужно обратить внимание в данном случае
Жители США используют Фаренгейт, но в большей части мира можно заметить, что все смотрят на ртуть в градусах Цельсия. Обе единицы родились в одно и то же время — в начале-середине XVIII века европейскими учеными. Одним из них был голландский физик и изобретатель Даниэль Фаренгейт, а другим — шведский астроном Андерс Цельсий.

Пересчет градусов Цельсия в градусы Фаренгейта осуществляется путем умножения градусов Цельсия на 1,8 и прибавления 32
Эти две шкалы отличаются, как мы можем заметить на примере воды, кроме замерзания, есть разница и в кипении. Фаренгейт считает, что это происходит при температуре 212 градусов, в то время как Цельсий считает, что это происходит при 100 градусах.
Интересные факт
- Самая высокая температура созданная человеком ~ 4 трлн. К (что сравнимо с температурой Вселенной в первые секунды её жизни) была достигнута в 2010 году при столкновении золотых частиц, ускоренных до околосветовых скоростей. Эксперимент был проведён на установке RHIC, расположенной в Брукхейвенской национальной лаборатории, США.
- Самая высокая теоретически возможная температура — планковская температура. Более высокая температура не может существовать, так как всё превращается в энергию (все субатомные частицы разрушатся). Эта температура примерно равна 1.41679(11)⋅1032 °C (примерно 142 нониллиона градусов).
- Самая низкая температура, созданная человеком была получена в 1995 году Эриком Корнеллом и Карлом Виманом из США при охлаждении атомов рубидия. Она была выше абсолютного нуля менее чем на 1/170 млрд долю градуса (5,9⋅10−12).
- Поверхность Солнца имеет температуры около 6000 °С.
💎 Формула преобразования градусов Цельсия в Фаренгейта
Теперь давайте рассмотрим обратное преобразование — из градусов Цельсия в градусы Фаренгейта.
Для этого используется следующая формула:
F =C*1.8 + 32
Например, давайте представим, что у нас есть температура 25 градусов Цельсия, и мы хотим узнать, какова она будет в градусах Фаренгейта:25 × 9/5 + 32 = 77 °F
Калькулятор преобразования градусов Цельсия в градусы Фаренгейта и обратно позволяет просто ввести исходное значение температуры и получить результат в одной шкале или другой.
Градусы Цельсия — это шкала температуры, основанная на фазовом переходе воды, и широко используется повсеместно в повседневной жизни. Калькулятор преобразования градусов Фаренгейта в градусы Цельсия и обратно — это важный инструмент, который помогает быстро и точно пересчитывать значения температуры между этими двумя шкалами.
🔴 Где можно применить калькулятор преобразования градусов Фаренгейта в градусы Цельсия

Один из наиболее распространенных случаев использования калькулятора преобразования градусов Фаренгейта в Цельсия – это при путешествиях и приложениях, связанных с метеорологией. Во многих странах мира для измерения температуры используется шкала Фаренгейта, в то время как в других – Цельсия.
Людям путешествующим или работающим в странах с другой системой измерения, калькулятор преобразования градусов Фаренгейта в Цельсия становится неотъемлемым инструментом для быстрого и точного перевода значения температуры.
Кроме того, калькулятор преобразования градусов Фаренгейта в Цельсия часто используется в научных и исследовательских работах, а также в образовательных учреждениях. Многие учебники и научные статьи приводят данные температуры в разных системах измерения, поэтому студенты и исследователи должны уметь быстро переводить значения для более глубокого понимания данных.
Среди других применений калькулятора преобразования градусов Фаренгейта в Цельсия можно выделить его использование в кулинарии и медицине. В кулинарии часто используется шкала Цельсия, поэтому для адаптации рецептов, основанных на шкале Фаренгейта, необходимо использовать калькулятор. В медицине мы также сталкиваемся с разными шкалами измерения температуры, поэтому калькулятор преобразования может быть полезным для медицинского персонала и пациентов.
Преимущества использования калькулятора преобразования градусов Фаренгейта в Цельсия очевидны. Во-первых, это экономит время и упрощает жизнь каждому, кто сталкивается с задачей перевода температурных единиц. Во-вторых, калькулятор обеспечивает точность, исключая возможность ошибки при ручном переводе, особенно если имеется больше чем одно значение для преобразования.
Формула Цельсия в Фаренгейта
К сожалению, преобразовать градусы Цельсия в градусы Фаренгейта нелегко, быстро или в уме. Вот формулы, используемые для преобразования Цельсия в Фаренгейт и Фаренгейта в Цельсий. Эти формулы дадут вам точный преобразование одной единицы температуры в другую:
Формула от Цельсия до Фаренгейта: (° C * 1,8) + 32 = ° F
Формула Фаренгейта в Цельсия: (° F – 32) / 1,8 = ° C
Например, допустим, что температура на улице 18 ° C, и вы хотите знать, сколько это будет в градусах Фаренгейта. Вот как будет выглядеть ваше уравнение, если вы подставите 18 для ° C:
(18 * 1.8) + 32(32.4) + 32= 64,4 ° F
Вот еще один пример, если вы хотите преобразовать градусы Фаренгейта в градусы Цельсия: допустим, вы плохо себя чувствуете, а температура вашего тела составляет 101,3 ° F. Чтобы узнать, что это равно в градусах Цельсия, просто вставьте 101,3 в часть ° F во втором уравнении, написанном выше:
(101.3 – 32) / 1.8 (69.3) / 1.8= 38,5 ° С
Как видите, эти преобразования несложно выполнить, но они делать занять некоторое время, и их не так просто обойтись без калькулятора.
К счастью, есть ярлык. Запомнив некоторые из наиболее распространенных значений температуры, которые встречаются в повседневной жизни, у вас не должно возникнуть проблем с переводом из градусов Цельсия в градусы Фаренгейта и наоборот. Мы посмотрим, как это сделать дальше.
Здесь становится жарко.
Соотношение градусов
В качестве показательных соотношений двух шкал измерения температуры можно взять за основу стандартные величины температур – кипения воды, таяния льда, норма температуры тела здорового человека.
По Цельсию они будут – 1000, 00, 36,60 или 370. А по шкале Фаренгейта данные показатели будут уже другими — 2120, 320 и приблизительно 980.
Ключевым понятием в измерении температур является абсолютный ноль – это теоретическое значение, которое является точкой отсчета и эталоном для использования любых систем.
Эта величина характеризуется отсутствием движения частиц материи. В соотношении Цельсия и Фаренгейта это показатели равные -273,15 и -459,67 градуса.
Калькулятор и формулы преобразования температуры
Перевод показаний температуры из одной шкалы в другую осуществляется в строгом соответствии с определенными формулами
Чтобы избежать ошибок, важно использовать строгие соотношения
Формулы, используемые для преобразования показаний температуры, своеобразны:
(Фаренгейт — 32): 1,8 = Цельсий
(°C) x 1,8+32 = Фаренгейт.
- Чтобы перевести °F в °С: (50 °F – 32): 1,8 = 10 °С.
- Обратный пересчет: 10 °С x 1,8+32 = 50 °F.
А вот так выглядит общая сравнительная таблица самых популярных и востребованных температурных шкал:
Однако это не единственный способ сравнения температурных шкал, используемых сегодня в различных отраслях и направлениях. Коэффициенты для различных методов расчета, в порядке от 1 до 35, следующие:
| Цельсия | Кельвин | Ревматизм | Фаренгейт |
| 1 | 274 | 0,8 | 33,8 |
| 2 | 275 | 1,6 | 35,6 |
| 3 | 276 | 2,4 | 37,4 |
| 4 | 277 | 3,2 | 39,2 |
| 5 | 278 | 4 | 41 |
| 6 | 279 | 4,8 | 42,8 |
| 7 | 280 | 5,6 | 44,6 |
| 8 | 281 | 6,4 | 46,4 |
| 9 | 282 | 7,2 | 48,2 |
| 10 | 283 | 8 | 50 |
| 11 | 284 | 8,8 | 51,8 |
| 12 | 285 | 9,6 | 53,6 |
| 13 | 286 | 10,4 | 55,4 |
| 14 | 287 | 11,2 | 57,2 |
| 15 | 288 | 12 | 59 |
| 16 | 289 | 12,8 | 60,8 |
| 17 | 290 | 13,6 | 62,6 |
| 18 | 291 | 14,4 | 64,4 |
| 19 | 292 | 15,2 | 66,2 |
| 20 | 293 | 16 | 68 |
| 21 | 294 | 16,8 | 69,8 |
| 22 | 295 | 17,6 | 71,6 |
| 23 | 296 | 18,4 | 73,4 |
| 24 | 297 | 19,2 | 75,2 |
| 25 | 298 | 20 | 77 |
| 26 | 299 | 20,8 | 78,8 |
| 27 | 300 | 21,6 | 80,6 |
| 28 | 301 | 22,4 | 82,4 |
| 29 | 302 | 23,2 | 86 |
| 30 | 303 | 24 | 87,8 |
| 31 | 304 | 24,8 | 89,6 |
| 32 | 305 | 25,6 | 91,4 |
| 33 | 306 | 26,4 | 93,2 |
| 34 | 307 | 27,2 | 95 |
| 35 | 308 | 28 | 96,8 |
Что более точное Фаренгейт или Цельсия?
Существует также тот факт, что fahrenheit является более точным масштабом, чем Цельсия , что означает, что разница в температуре между каждой степенью меньше. … так что вы можете быть более точными при измерении температуры, используя Fahrenheit, не прибегая к фракциям и десятикам.
Фаренгейт горячий или холодный?
Степень Fahrenheit
fahrenheit (â ° F) является мерой температуры. Фаренгейт используется в Соединенных Штатах. В градусах Фаренгейта 30 ° очень холодно и 100 ° очень жарко! Левый термометр показывает очень холодный день.
Кто использует Fahrenheit?
Фаренгейт используется в Соединенных Штатах, в его территориях и связанных с ними штатах (все это обслуживается Национальной службой погоды США), а также на Кайманских островах и Либерии для повседневных заявлений. Например, прогнозы погоды в США, приготовление пищи и температура замерзания обычно даются в градусах Фаренгейта.
Фаренгейт такой же, как Цельсия?
Шкала Цельсия и шкала fahrenheit совпадают при -40 ° , что одинаково для обоих. Когда дело доходит до преобразования градусов Цельсия в Келвины, формула еще проще. 0 градусов Цельсия равен 273,15 келвинам.
Почему американцы используют Фаренгейт?
USA Fahrenheit FAQ
Fahrenheit – это масштаб, используемая для измерения температуры на основе точек замораживания и кипения воды. Вода замерзает при 32 градусах и кипит при 212 градусах по Фаренгейту. Это используется в качестве метрики для определения горячей и холодной жизни.
Почему Фаренгейт такой странной?
Это происходит от Даниэля Габриэля Фаренгейта, немецкого ученых, родившегося в Польше в 1686 году. В молодости, Фаренгейт стал одержим термометрами . Это может показаться странным, но измерение температуры было большой проблемой в то время. … Фаренгейт установил ноль при самой низкой температуре, он мог получить смесь воды и соли для достижения.
Почему замерзает 32 градуса?
Температура замерзания воды составляет 32 градуса по Фаренгейту из -за уникальных характеристик молекулы воды, H2O . Молекулы всегда движутся. … замерзание происходит, когда молекулы жидкости настолько холодны, что они замедляются достаточно, чтобы зацепить друг друга, образуя твердый кристалл.
30 градусов Цельсия горячо?
Помните, что когда вы видите прогноз погоды по телевизору, в газете или по радио, что все с 20 градусов вверх будет теплым, более 25 градусов жарко, выше 30 градусов очень жарко .
Кто использует Цельсия?
Из-за широкого распространения метрической системы, в большинстве стран во всем мире-включая неметирическую Либерию и Бирму -используйте Цельсия в качестве своего официального масштаба температуры. Только несколько стран используют Фаренгейт в качестве официального масштаба: Соединенные Штаты, Белиз, Палау, Багамские острова и Кайманские острова.
Кельвин горячий или холодный?
Шкала Кельвина аналогична шкале Цельсия. Ноль градусов определяется как точка замерзания воды в системе Цельсия. Однако нулевая точка в шкале Кельвина определяется как самая холодная температура , известная как «абсолютный ноль».
Кельвин выше Цельсия?
Хотя размер степени одинаково между Кельвином и Цельсисом, нет точки зрения, в которой две шкалы равны: температура Цельсия всегда будет выше, чем Кельвин . Температура Цельсия может быть отрицательной; Кельвин снижается до абсолютного нуля (без отрицательной температуры).
Почему мы добавляем 32 Цельсия в Фаренгейт?
Вы правильно выяснили относительные масштабы для температур F и C, то есть отношение одной степени C до одного градуса F, но, поскольку оба не начинаются в одной и той же нулевой точке, вы должны добавить 32 градусы, которая представляет собой количество смещения между .
Что произошло первым Фаренгейтом или Цельсия?
Даниэль Габриэль Фаренгейт (1686-1736) был немецким физиком, который изобрел алкогольный термометр в 1709 году, а ртутный термометр в 1714 году. В 1724 году он ввел шкалу температуры, которая носит его имя – шкала Фаренгейта. Масштаб Цельсисия температура также называется шкалой «Цельсия».
Кто использует Кельвина?
Шкала Кельвина используется физиками и другими учеными , которым нужно записать очень точные температуры. Шкала Кельвина – единственная единица измерения, включающая температуру для «абсолютного нуля», общее отсутствие любой тепловой энергии.
Температурная шкала: виды и различия
Температурная шкала известна человеку с незапамятных времен. Создателем первого термометра считается Галилео Галилей. Точнее, именному ему приписывают совершение невиданного на то время открытия. Конечно, точных температурных значений изобретение ученого не показывает, но указать степень прогрева или охлаждения воздуха оно вполне способно.
Со временем дело Галилея продолжили его последователи. Постепенно начали появляться шкалы Кельвина, Цельсия, Фаренгейта. Каждая из них отличается от другой особенностями измерения температуры воздуха или жидкости, а также другими характеристиками.
Кельвин
Самая загадочная, но при этом – самая интересная температурная шкала. Кстати, температура измеряется просто в кельвинах без слова-приставки «градусы». Примечательной чертой шкалы является то, что исчисление начинается с нуля, которого невозможно достичь. Этому препятствует третье начало термодинамики.
Цельсий
Изначально данная шкала определялась показателем, при котором наблюдалось замерзание воды. Позже ее видоизменили, и за основу была взята точка таяния льда. Таким образом, с течением времени температурный показатель с учетом данной схемы подвергался изменениям и коррективам.
В сравнении с разработкой Фаренгейта, за нулевое деление по Цельсию позже была принята температура, при которой вода начинает кипеть. Создал такую шкалу шведский метеоролог Андерс Цельсий, в честь которого она и была названа.
Исходя из этого, ноль по Цельсию равен 273,15 К (кельвинов). Однако разницы между 1 °С и 1 °К нет. Примечательно, что отрицательных показателей по первому градуснику, созданному шведским ученым, не существовало. Сегодня мы используем так называемую обратную шкалу Цельсия, предложенную Карлом Линнеем.
Фаренгейт
Габриель Фаренгейт был первым изобретателем прибора, который напоминает современный термометр. Однако вместо ртути в качестве столбика-индикатора применялся спирт. За ноль изобретатель выставлял температуру таяния смеси воды со снегом, морской соли и нашатыря. Но есть и вторая версия, согласно которой нулем считалась самая низкая температура воздуха на улице зимой.
Мнение эксперта
Карнаух Екатерина Владимировна
Закончила Национальный университет кораблестроения, специальность “Экономика предприятия”
Однако ученый использовал для своих наблюдений только те характеристики, которые были актуальны для населенного пункта, в котором он жил. Ранее это был немецкий город Данциг, а затем – польский Гданьск. Тогда самой низкой температурой считалась отметка, равная 18 градусам мороза по Цельсию. Но, поскольку отправной точкой для своего изобретения Фаренгейт избрал температуру тела здорового человека, оказалось в итоге, что вода замерзала при +32 градусах, а кипела – при +121 градусах.
На заметку. Шкалу Фаренгейта принято использовать в теплых странах, где климатические условия отличаются стабильностью.
Реомюра
Градус Реомюра – еще одна единица измерения температурного показателя. Она мало известна обычному человеку, не связанному с технической промышленностью или физической наукой. Ведь для идентификации показателя прогрева воздуха или температуры тела в термометрах данный градус не используется. Данная шкала была предложена Р. А. Реомюром в 1730 году.
За основу при разработке данной градации ее изобретатель взял особенности и степень расширения спирта при определенных температурных показателях по шкале Цельсия. Так, согласно наблюдениям и утверждениям ученого, спирт расширяется примерно на 8 % при условии, когда происходит нагрев от температуры таяния льда до достижения точки кипения (это примерно 78 градусов по шкале Цельсия). Поэтому Реомюр установил этот показатель на своем термометре под число 80 градусов.
Мнение эксперта
Карнаух Екатерина Владимировна
Закончила Национальный университет кораблестроения, специальность “Экономика предприятия”
Интересный факт. Со временем шкала Реомюра претерпевала определенные изменения. Теперь же равенство выглядит следующим образом: 100 градусов Цельсия равно 80 градусам по Реомюру. Таким образом, выходит, что 1 °С – это 0,8 °R (краткое обозначение Реомюра). А ведь изначально равенство должно было выглядеть несколько по-другому: 1 °R=0,925°С.
Каждым из вышеописанных методов измеряют температуру воздуха, тела, воды и других жидкостей. Но, поскольку особенности их функционирования разнятся, отличаться будут и числовые отображения градусов.
Градус Фаренгейта
Распространенный в США и еще нескольких государствах Градус Фаренгейта (°F) назван в честь немецкого учёного Габриеля Фаренгейта, предложившего в 1724 году шкалу для измерения температуры.
На шкале Фаренгейта при нормальном атмосферном давлении температура таяния льда равна +32 °F, а температура кипения воды +212 °F. При этом один градус Фаренгейта равен 1/180 разности этих температур. Диапазон от 0 до +100 °F по шкале Фаренгейта примерно соответствует диапазону от −17,8 до +37,8 °C по шкале Цельсия. Шкалы Цельсия и Фаренгейта пересекаются в точке -40 единиц, где указывают на одинаковую температуру. Абсолютному нулю на шкале Фаренгейта соответствует значение -459,67 °F.
Шкала Фаренгейта в англоязычных странах она была приоритетной шкалой в промышленности, медицине и метеорологии до 60-х годов 20 века. Впоследствии страны Европы перешли на шкалу Цельсия.
Что делать с посылками от Алиэкспресс?
Есть еще одно предположение, при какой температуре гибнет китайский коронавирус. Если режим превышает сорок – сорок пять градусов тепла, вирус погибает через несколько минут.
Но существуют природные условия, при которых коронавирус не погибает в течение одного-двух дней. Для этого достаточно комнатного температурного режима и отсутствия на поверхности с вирусом прямых лучей солнца, соответствующего уровня влажности.
Вариантов много, и каждый из них предугадать невозможно. Механизм существует, но при этом нет ни одного случая, когда источником заражения стала посылка из Китая.
Чему равен 1 градус по шкале Фаренгейта?
Если говорить о разнице между двумя значениями на шкале Фаренгейта, то 1 градус по Фаренгейту эквивалентен разнице 0,556 градуса по Цельсию. Это связано с различиями в масштабах и делениях между этими двумя шкалами.
Однако, если вы интересуетесь абсолютным нулем или фиксированной точкой на шкале Фаренгейта, то в этой системе нет таких значений, как абсолютный ноль или точка замерзания/кипения воды, которые характерны для шкалы Цельсия. Точка замерзания воды составляет 32°F, а точка кипения — 212°F на шкале Фаренгейта.
Шкала Фаренгейта была разработана немецким физиком по имени Габриэль Даниэль Фаренгейт в начале XVIII века. Он предложил эту шкалу, опираясь на температуры, которые можно было достичь с помощью смеси льда и соли, а также на температуру тела человека.
Появление на свет нашей любимой шкалы Цельсия
То ли дело наш спаситель с нормальной человеческой шкалой – красавец Андрес Цельсий. Его единица измерения появилась в 1742 году. Андрес изучал геологию и метеорологию и в какой-то момент он понял, что пора замутить свою шкалу. Изначально, в его шкале начальная точка была точкой кипения воды, а конечная – таяние льда. Спустя какое-то время шкалу перевернули и поменяли начальную и конечную точку. Таким образом, точкой таяния льда составляла ноль градусов, а кипения воды – 100 градусов.
Цельсий быстро прославился, о его системе узнали по всему миру и постепенно люди стали переходить на его шкалу. Некоторые не делали этого намеренно ввиду каких-то политических соображений, из-за чего, конечно же, страдали простолюдины.
По сей день данную шкалу используют во всём мире, кроме тех же США. Всё-то у них своё – и мили вместо километров, и килограммы им не нравятся…Однако все используют доллары этих монополистов, вот так ирония. Но не будем отклоняться от темы.

Градус Кельвина
Данная единица измерения температуры названа в честь английского физика Уильяма Томсона, имеющего звание лорд Кельвин Ларгский из Айршира. В свою очередь, это звание пошло от реки Кельвин, протекающей через территорию университета Глазго.
Кельвин (K) — единица термодинамической температуры в Международной системе единиц (СИ), предложена в 1848 году. До 1968 года Кельвин официально именовался градусом Кельвина (°K). Один кельвин равен 1/273,16 части термодинамической температуры тройной точки воды.
Начало шкалы (0 К) совпадает с абсолютным нулем. Это значит, что нулевая точка соответствует предельной степени холода (абсолютному нулю), а ценой деления является градус Цельсия. Абсолютная шкала на сегодняшний день известна как термодинамическая шкала Кельвина. Значение «минус 273» было получено как обратное от 0,00366 — коэффициента расширения газа на градус Цельсия.
Третья резолюция 10 Генеральной конференции по мерам и весам в 1954 г дала шкале Кельвина современное определение, взяв температуру тройной точки воды в качестве второй опорной точки и приняв, что ее значение составляет ровно 273,16 кельвина (градуса Кельвина по прошлой терминологии или 0,01 °C). То есть, как и упоминалось ранее, шкалы Цельсия и Кельвина сдвинуты на 273,15 единиц.
Что дальше?
Вы изучаете облака в своем классе естественных наук? Получите помощь в определении разные типы облаков с нашим экспертным руководством.
Теперь, когда вы знаете, как преобразовать градусы Цельсия в градусы Фаренгейта, следующий вопрос, на который нужно ответить, – какие виды пауков живут в каком климате? Узнайте больше из наших статей о мифы о верблюжьих пауках и причины не бояться садового паука.
Хотите еще больше практики с конверсиями? (Кто бы не стал?) Узнайте, сколько здесь чашек 4 литра.
Работаете над исследовательской работой, но не знаете, с чего начать?Тогда ознакомьтесь с нашим руководством, в котором мы собрали множество высококачественных тем для исследований, которые вы можете использовать бесплатно..
Нужна помощь с уроками английского языка, особенно с выявлением литературных приемов в текстах, которые вы читаете? Тогда вы обязательно захотите взглянуть на наше исчерпывающее объяснение важнейшие литературные приемы и как они используются.
Единица температуры – кельвин. Определение в МТШ-90 и современное определение
Определение кельвина в шкале МТШ-90. В основе определения было положено фиксированное значение температуры тройной точки воды и действовало до 20 мая 2019 г. (см. Глава 3, § 2). Единицей фундаментальной физической величины, термодинамической температуры, обозначаемой символом Т, является кельвин, обозначение К, который по определению точно равен 1/273,16 части термодинамической температуры тройной точки воды.
Напомним, что тройная точка воды – температура равновесия газообразной, жидкой и твердой фаз чистой воды (см. Глава 1, § 4). В шкале МТШ-90 для реперной точки ТТВ было добавлено (июнь 2005 г.) условие определённого изотопного состава:
- 0,00015576 моля 2Н на один моль 1Н
- 0,0003799 моля 17О на один моль 16О
- 0,0020052 моля 18О на один моль 16О.
Таким образом, единица температуры зависела от качества воспроизведения тройной точки воды, на стабильность температуры которой оказывает влияние, помимо изотопного состава, чистота самой воды и даже состав стекла ампулы ТТВ. Воду не только трудно очистить до высокой степени чистоты, но и поддерживать её в таком состоянии, в силу её высокой способности к растворению различных веществ. Даже из стекла в воду могут переходить микроколичества различных элементов.
Современное определение кельвина. Утверждено 16 ноября 2018 года на XXVI Генеральной конференции по мерам и весам и введено 20 мая 2019 с принятием изменений определений основных единиц СИ.
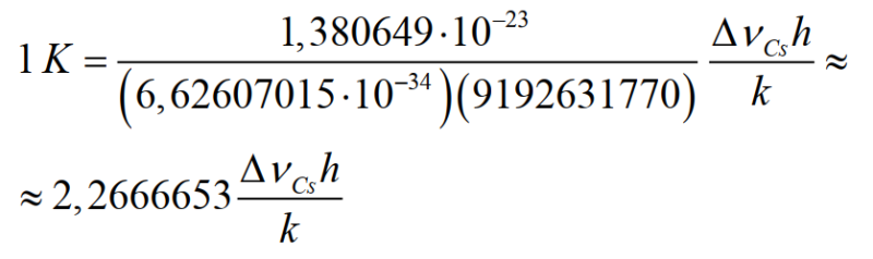
Кельвин, символ К, является единицей термодинамической температуры и определяется путем установления фиксированного числового значения постоянной Больцмана k равным 1,380649·10–23 в единицах Дж / К (J / K) , что соответствует кг · м2 · с–2 К-1, где килограмм, метр и секунда определены через константы h , c и ΔvCs .
(Здесь h – постоянная Планка, c скорость света в вакууме и ΔvCs – частота сверхтонкого расщепления основного состояния атома цезия- 133).
Точное выражение для кельвина в терминах определяющих констант k , h и ΔvCs:


Из этого определения следует, что один кельвин равен изменению термодинамической температуры, приводящему к изменению тепловой энергии kT на 1,380649 ·10–23 Дж.
Новое определение кельвина опирается на статистическую интерпретацию температуры, где термодинамическая температура – это мера средней тепловой энергии, приходящейся на степень свободы в системе. В этом плане естественной единицей термодинамической температуры являлся бы джоуль, но по историческим и практическим причинам кельвин остается основной единицей СИ. Также новое определение кельвина не отменяет практическое использование шкалы Цельсия с сохранением её связи с абсолютной шкалой.
В предыдущих практических температурных шкалах, в том числе в МТШ-90, передача единицы температуры почти во всех диапазонах так или иначе опиралась на значение ТТВ. Главным преимуществом введения нового определения кельвина является принципиальная возможность повышение точности температурных измерений вдали от тройной точки воды, в том числе – в высокотемпературной области.
Последнее сделает возможным независимое применение абсолютных радиационных термометров и ещё более приблизить практические измерения к термодинамической шкале. При этом можно будет избежать серьезных экономических и организационных трудностей, связанных с введением какой-то новой полноценной практической температурной шкалы. Ожидается, что со временем для некоторых диапазонов прямые термодинамические методы могут постепенно заменить МТШ-90, но в основе своей она ещё долго будет действовать.
В обозримом будущем в ключевом диапазон шкалы -200 ÷ 960 °С интерполяционным измерительным прибором попрежнему будет являться платиновый термометр сопротивления. Значения температур реперных точек останутся прежними, лишь немного изменятся неопределенности реперных точек, принятых на этапе подготовки МТШ-90. Последнее никак не скажется на практике измерения температур.
В настоящее время неопределенность экспериментального определением константы Больцмана составляет примерно 3,7 ·10–7 , что соответствует неопределенности температуры ТТВ 0, 49 мК . В то же время воспроизводимость температуры ТТВ составляет примерно 0,05 мК , поэтому привязка кельвина к константе Больцмана не может в обозримом будущем повлиять на значение 273,16 К . Стандартная неопределенность температуры ТТВ теперь равна 0,1 мК.
Почему минус 273?
Минус 273°C является значением, которое связывает шкалы Кельвина и Цельсия. Это называется абсолютным нулем в термодинамике.
Изначально, шкала Кельвина была определена на основе абсолютного нуля, который соответствует нулевой температуре, при которой молекулы и атомы не обладают тепловой энергией и движением. Это минимально возможная температура, и она равна 0 К.
Однако шкала Цельсия не была основана на абсолютном нуле. При разработке шкалы Цельсия исходной точкой была выбрана температура замерзания воды (0°C) и температура кипения воды при атмосферном давлении (100°C).
Для преобразования между этими двумя шкалами используется простое выражение: Т(°C) = Т(K) — 273,15. Это связывает значения в Кельвинах и градусах Цельсия, где минус 273,15°С соответствует абсолютному нулю (0 К) на шкале Кельвина.
Таким образом, минус 273,15°C применяется для преобразования между шкалами и связывания их значений с абсолютным нулем, который представлен на шкале Кельвина.
Цельсия против Фаренгейта
Если вы живёте в США, вы, вероятно, используете градусы Фаренгейта, но в большинстве других мест в мире используются градусы Цельсия. Оба были изобретены в начале-середине 18 века европейскими учёными — голландским физиком и изобретателем Даниэлем Фаренгейтом и шведским астрономом Андерсом Цельсиусом.
Эти две шкалы отличаются в нескольких пунктах. Во-первых, температуры замерзания и кипения воды разные. По Фаренгейту вода замерзает при 32 градусах и кипит при 212, тогда как по Цельсию вода замерзает при 0 градусах и кипит при 100. Поскольку между замерзанием и кипением по Фаренгейту 180 градусов, а по Цельсию — всего 100, каждый градус по Цельсию в 1,8 раза больше, чем по Фаренгейту.
Вот как легко конвертировать между двумя шкалами:
Важно знать, что на каждый градус Цельсия приходится 1,8 градуса по Фаренгейту (или 9/5 градуса, выражаясь дробью). Поскольку две шкалы начинаются с разных чисел — нуля и 32, — преобразование между ними включает прибавление или вычитание 32
Поскольку две шкалы начинаются с разных чисел — нуля и 32, — преобразование между ними включает прибавление или вычитание 32.
Чтобы преобразовать градусы Цельсия в градусы Фаренгейта, умножьте температуру в градусах Цельсия на 1,8, а затем прибавьте 32. Вы можете использовать эту формулу:
Если вы хотите перевести градусы Фаренгейта в градусы Цельсия, вычтите 32 из температуры по Фаренгейту, а затем разделите результат на 1,8 по следующей формуле:
Итак, пришло время ответить на вопрос из заголовка. Почему в одной точке сходятся две шкалы? Обе шкалы должны где-то сойтись, и минус 40 градусов как раз на месте. Если вы хотите узнать математическую причину, продолжайте читать.
Температура по Цельсию (°C)
Хотя градусник Фаренгейта стал настоящим прорывом в измерении температуры, сегодня, почти во всем мире, пользуются шкалой шведского ученого Андерса Цельсия. В 1742 году он предложил свою версию термометра с двумя пороговыми точками — таяние снега и закипание воды. Для удобства вычислений он сделал между ними градацию в 100 делений.
В ежегодном издании Шведской королевской академии наук был опубликован отчет ученого «Наблюдения за двумя фиксированными точками на градуснике «. В нем Цельсий писал о своих экспериментах и приводил аргументы в пользу выбранных им точек. Два года, все зимние месяцы, он проверял, действительно ли показания термометра и тающего на улице снега совпадают.
Привычная нам шкала градусника появилась в 1750 году, уже после смерти Андерса Цельсия (1744 г). Его соотечественники, ученый астроном Мортен Штремер и известный ботаник Карл Линней, «перевернули» шкалу. Таким образом, точка кипения воды стала 100 градусов, а лед тает при ноле. В таком виде мы используем ее и сегодня, спустя 250 лет.





























