В чем разница между индивидуальным и рыночным спросом?
Индивидуальный спрос, как следует из названия, относится к одному человеку или семье, тогда как рыночный спрос обобщает тенденции для многих людей в определенном сегменте. Человек, увлеченный собаками, более склонен тратить больше на собачий продукт, чем тот, кто проявляет умеренный интерес. Предпочтения одного человека могут не отражать тенденции всего вашего целевого рынка. Совокупный спрос – это еще один термин для общего рыночного спроса.
Итак, почему это важно? Крайне важно понимать, что при проведении собственного исследования рынка для прогнозирования спроса вы должны опросить большое количество людей, а не только тех, кто больше всего увлечен вашей отраслью или продуктом. Если вы прогнозируете на основе индивидуального спроса, вы можете получить неточные данные и подвергнуть себя огромным потерям
Рыночный спрос, по сути, представляет собой набор отдельных точек данных о спросе.
Очень важно следить за кривой спроса в течение года, чтобы вы могли соответствующим образом изменить свой бизнес-план. Когда спрос увеличивается, часто появляется возможность поднять определенную цену на ваши товары; однако вы не хотите поднимать цены настолько, чтобы ваши клиенты убегали к конкурентам
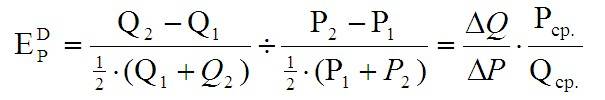
Эластичность спроса
При росте цены на товар, величина спроса на него уменьшается. При снижении цены — увеличивается. Но это происходит по-разному: в одних случаях незначительное колебание уровня цен может вызвать резкий рост (падение) спроса, в других изменение цены в очень широких пределах практически никак не повлияет на спрос. Степень такой зависимости, чувствительности величины спроса к изменению цены или других факторов называется эластичностью спроса.
Эластичность спроса — степень изменения величины спроса при изменении цены (или другого фактора) в ответ на изменение цены или другого фактора.
Числовой показатель, отражающий степень подобного изменения — коэффициент эластичности спроса.

В зависимости от абсолютного значения коэффициента эластичности различают следующие виды спроса (виды эластичности спроса):
- Совершенно неэластичный спрос или абсолютная неэластичность (|E| = 0). При изменении цены величина спроса практически не меняется. Близкими примерами могут служить товары первой необходимости (хлеб, соль, лекарства). Но в реальности нет товаров с совершенно неэластичным спросом на них;
- Неэластичный спрос (0 < |E| < 1). Величина спроса меняется в меньшей степени, чем цена. Примеры: товары повседневного спроса; товары, не имеющие аналогов.
- Спрос с единичной эластичностью или единичная эластичность (|E| = -1). Изменение цены и величины спроса полностью пропорциональны. Объем спроса растет (падает) точно такими же темпами, как и цена.
- Эластичный спрос (1 < |E| < ∞). Величина спроса изменяется в большей степени, чем цена. Примеры: товары, имеющие аналоги; предметы роскоши.
- Совершенно эластичный спрос или абсолютная эластичность (|E| = ∞). Незначительное изменение цены тут же повышает (понижает) объем спроса на неограниченную величину. В реальности нет товар с абсолютной эластичностью. Более-менее близкий пример: ликвидные финансовые инструменты, торгуемые на бирже (например, валютные пары на Форекс), когда небольшое колебание цены может вызвать резкий рост или падение спроса.
Проведение опроса
Спросить напрямую у потенциального клиента — самый простой способ получить нужную информацию. Это можно сделать онлайн. Вопросы, на которые будут отвечать люди, помогут:
определить реакцию покупателей на выход нового продукта;
узнать, как будут люди позиционировать новый товар;
установить общие закономерности формирования рынка спросу, его структуру, сезонность;
узнать, что хотели бы изменить потребители в уже существующих сервисах.
Получается, что простой опрос помогает предпринимателю взаимодействовать с потребителем на всех этапах: покупки продукта, его использования.
Например, если речь идет о зоомагазине, то вопросы могут быть такими:

Вопросы можно придумать свои, а можно воспользоваться шаблоном
Начальные вопросы могут быть сформулированы так, чтобы опрашиваемый мог ответить на них сразу, не задумываясь. Но они должны быть конкретными, исключающими возможность что-либо трактовать двояко.

Формулируют вопросы так, чтобы получить точный ответ
Если товар не такой уникальный, то можно воспользоваться готовыми шаблонами. Найти их можно в интернете. Например, на ресурсе Survio, Testograf или QuestionPro, правда, последний англоязычный, но перевести а адаптировать под свои нужды несложно.
Но лучше, если вопросы будут разрабатываться с учетом потребностей бизнеса, так можно узнать актуальное мнение клиентов. Инструментов, которые помогут в этом, достаточно много: от привычных и бесплатных форм Google и «Яндекс.Взгляда» до платных сервисов типа Oprosso или Examinare.
Мониторинг спроса с помощью готовых сервисов
Бесплатных сервисов всего два: это Google Trends и «Яндекс.Вордстат». Первый помогает установить товарные тенденции и тренды, второй — определяет количественные показатели спроса.
Google Trends
Google Trends показывает товарные тенденции
Этот инструмент помогает оценить общие направления перед открытием бизнеса, заменой имеющихся товаров или введения в новых продуктов в ассортимент.
Google Trends может анализировать и сравнивать направления: можно увидеть, как меняется спрос по разным регионам, странам.
Динамика популярности запроса в Google Trends
Алгоритм работы:
указывается наименование продукта — ключевой запрос;
устанавливается период для которого будет проведен анализ;
при необходимости — добавляется новый ключевой запрос для сравнения.
Сравнение динамики запросов в Google Trends
Процентную долю запросов можно увидеть на карте
Минус этого сервиса состоит в том, что его нельзя использовать для узких запросов — результаты, которые он показывает, довольно обобщенные.
«Яндекс.Вордстат»
«Яндекс.Вордстат»
Этот сервис дает больше возможностей для проведения аналитики спроса на товары. В «Яндекс.Вордстате» содержится база данных по запросам, которые пользователи вводили в поисковик. Что можно отследить:
Частоту запросов — количество показов. По ним можно сделать вывод о востребованности товара, его популярности.
Историю запросов. Она покажет повышение и снижение потребительского спроса, влияние времени года на интерес покупателей. Сервис помогает определить общее направление поведения целевой аудитории.
Просмотр данных по поисковым запросам доступен во вкладке «по словам». Левая колонка отображает статистику по словам, которые запрашивались одновременно с указанным словом или фразой, и количество показов по ним. В правой колонке показываются похожие по смыслу запросы.
Статистика по запросам
Сервис дает возможность пользователю выбрать, запросы с каких устройств нужно зафиксировать: мобильные, планшеты, телефоны, десктопы. По умолчанию в списке будут показаны все.
Аналогично и с выбором региона или города: если его автоматически не настроить, то результаты будут собраны со всех.
Можно выбрать конкретный регион или город, чтобы посмотреть статистику по запросу в нем
Рядом со значением числа показов за месяц показывается региональная популярность — процент, который занимает регион в показах по запросу.
Для удобства эти же данные фиксируются и на карте.
Региональная популярность запроса на карте
Вкладка «История запросов» показывает данные по запросу. Здесь видно, как менялся спрос в разные периоды времени.
История запросов
Но в любом случае стоит учитывать, что оценка, полученная с помощью сервисов, приблизительная, ведь некоторые клиенты приобретают нужный продукт на официальном сайте или просто в магазине, на рынке.
Дополнительные возможности
Посмотреть, насколько продукт востребован, можно и на «Яндекс.Маркете». Здесь размещены карточки товара с описанием, характеристиками, есть рейтинг и отзывы клиентов. О том, что товар пользуется спросом покупателей будет свидетельствовать:
позиция карточки в каталоге;
большое количество отзывов;
нахождение в блоке «популярные предложения»;
значительное количество предложений от разных магазинов;
наличие дополнительных материалов (обзоров, инструкций).
Кроме «Яндекс.Маркета» для исследования динамики спроса на товар можно брать и другие подобные сайты-агрегаторы, например, Tiu.ru или Blizko.ru.
Торговые площадки тоже помогают анализировать потребительский спрос
Оценить спрос можно и с помощью крупных рекламных площадок, например, «Авито». Для этого нужно просто ввести поисковый запрос, а потом посмотреть выдачу.
В любой сфере бизнеса активнее продается тот товар, который пользуется спросом у покупателей. Даже высококлассный товар залежится на складе, если он не будет интересен клиентам.
Как рассчитать рыночный спрос
Предприятия могут определить рыночный спрос, используя следующие методы:
№1. Инструменты поисковой оптимизации
Инструменты SEO могут оценивать поисковые запросы пользователей и оценивать трафик на страницах веб-сайта. Эта информация может использоваться для определения того, что интересует людей. Компании могут использовать инструменты поисковой оптимизации для отправки ключевых слов, таких как название своего бренда или продукта, и получать аналитику о том, как часто эти слова встречаются в поиске, что помогает прогнозировать потребительский спрос.
№ 2. Инструменты социального прослушивания
Инструменты социального прослушивания — это программы, которые отслеживают поведение пользователей на сайтах социальных сетей в Интернете, чтобы определить, о чем говорят клиенты. Компания может использовать технологию социального прослушивания, чтобы отслеживать, когда их бренд, продукт или конкурент упоминается или взаимодействует с ними в Интернете. Это помогает фирмам определить, к какой демографической группе потребителей они должны продавать и где они должны продавать свой продукт или услугу.
№3. Кривая спроса
Кривая спроса показывает зависимость между спросом на товар и его ценой. Компания может использовать кривую спроса для расчета цен на продукты и основывать их на реакции клиентов на аналогичные продукты. Поскольку кривая спроса отражает потребительский спрос, она является отличным инструментом прогнозирования для оценки спроса на другие товары на том же рынке.
Факты об индивидуальном спросе
Под индивидуальным принято понимать интерес, формируемый отдельно взятым потребителем. Его можно определить исходя из объема товаров, в покупке которых человек нуждается.
Динамика и структура индивидуального спроса зависят от платежеспособности потребителя. Если у гражданина есть значительное кол-во свободных финансовых средств, то он, вероятнее всего, сможет себе позволить покупать товары в большом многообразии, лучшем качестве и на постоянной основе.
Впрочем очень часто встречается и другая ситуация — человек сосредотачивается на покупке дорогих товаров, представленных в 1-2 категориях (к примеру, это могут быть мобильные девайсы престижных брендов), благодаря чему список других видов приобретаемой продукции значительно уменьшается.
Методы исследования рыночного спроса
Знание рыночного спроса может помочь будущим онлайн-компаниям решить, какие отрасли являются наиболее прибыльными для входа. В результате многим владельцам бизнеса потребуется провести исследование рыночного спроса.
Маркетинговые исследования предполагают поиск исследований, данных и общих знаний о конкретном рынке или области. Это часто требует различных методологий, организованной системы накопления цифр, тщательного анализа и дотошной отчетности. Это, однако, не означает, что новым предприятиям требуется целый маркетинговый персонал, чтобы узнать о рыночном спросе. При проведении исследований у них есть три варианта:
№1. Опросы:
Платформы социальных сетей идеально подходят для публикации опросов о продуктах, отраслях и услугах. Узнайте, что ваши друзья и семья думают о конкретной потребности или идее. Разошлите опрос по электронной почте и попросите всех переслать его еще трем людям. Чем шире область исследования рынка владельца бизнеса, тем лучше. Многие опросы и тематические исследования также доступны для скачивания в Интернете.
Если вы полагаетесь на бизнес-решения этих документов и отчетов, обязательно проверьте источники и выясните, как были получены данные. Некоторые опросы ограничены географически или нацелены на определенную демографическую группу, что может исказить результаты.
Виды спроса, существующие на рынке
Экономической науке известны разные виды спроса на товар. Они различаются по нескольким признакам:
- Реальным спросом называется уровень фактически проданной продукции и услуг, выраженный в денежной или количественной форме, за отрезок времени. Он напрямую зависит от наличия у населения денег на покупки;
- Реализованный спрос выражается в присутствии на рынке нужного потребителю объема товаров и услуг. Их ассортимент, качество полностью совпадает с потребностями покупателей;
- Нереализованный спрос – этот тот, который не был удовлетворен, т.е. человек не может купить необходимую продукцию. Для этого может быть несколько причин: завышенная стоимость товара, покупателя не устроило качество продукции, или товара просто нет на рынке;
- Повседневным называется спрос на товары, нужные ежедневно: продукты питания (хлебобулочные изделия, молочные продукты, фрукты), продукция бытового назначения (мыло, шампунь);
- Периодический – спрос на товары, которые нужны покупателю через определённые промежутки времени. Например, предметы одежды или обуви;
- Эпизодический – спрос на продукцию, который проявляется нерегулярно. Примеры такого спроса: ювелирные украшения; деликатесная продукция;
- Формирующийся характерен для малоизвестной продукции или для товаров, которые только появились на рынке. Он проявляется по мере того, как покупатель изучает новый продукт, а также зависит от того, какие меры предпринимает продавец для продвижения нового товара (дегустации, рекламные кампании или скидки);
- Потенциальный спрос характеризуется тем, что он бывает на продукцию, которая еще не выпущена, а только готовится к входу на рынок. Потенциальный спрос на рынке создается путем проведения рекламных кампаний, дегустаций или ярмарок, где проводится знакомство с товаром. Делается это, чтобы потенциальный объем спроса сделать реальным. Прежде, чем запустить в производство товар, нужно проанализировать каким будет уровень потенциального спроса;
- Устойчивый спрос – это тот, который заранее обдумывается потребителем. Он бывает на конкретные виды товаров, потому что нет возможности заменить его на продукцию, которая является однородной. К товарам устойчивого спроса относят хлебобулочные изделия, молочную продукцию;
- Альтернативный спрос,его еще могут называть мягким или компромиссным. Этот вид формируется непосредственно в месте совершения покупки, когда потребитель ознакомился с конкретной продукцией и ее свойствами. Для этого вида возможна заменяемость продукции аналогичной. Примером являются обувь, кондитерская продукция;
- Импульсивный спрос – зависит от желаний покупателя в конкретный момент времени, товар приобретается без обдумывания. Чаще импульсивный спрос на рынке формирует реклама. Пример: малознакомые товары. Человек приобретает их, чтобы познакомиться или в поиске альтернативы привычной продукции.
Каждый из перечисленных видов спроса формирует предложение, т.е. количество товара, которое предлагает потребителю производитель. Если спрос – это фактор, который отражает поведение покупателя, то предложение – это реакция товаропроизводителя, насколько он готов удовлетворять потребности населения.
Спрос выражается не только графиком, но и функцией спроса на товар(зависимость от факторов):
Расшифруем формулу, выражающая функцию величины спроса:
Qd – величина спроса на продукцию;
P – цена продукции;
a,b – постоянные коэффициенты, показывающие зависимость между факторами.
Так как функция – это зависимость, то выделяют несколько видов функций спроса:
1 Прямая, она представлена зависимостью величины спроса от стоимости продукции, т. е. показывает самый большой объем товаров, который потребитель готов купить при данной цене;
2 Обратная, выражается как зависимость стоимости от количества единиц продукции, которые готовы купить потребители. Она показывает, какой должна быть стоимость товара, чтобы потребитель купил нужное количество продукции;
3 Односторонняя (или однофакторная), выражена как зависимость покупки товара от дохода человека. Она показывает отношение между доходами семьи (домашнего хозяйства) и их потребностями. Например, уровень заработной платы рабочего и его расходы на приобретение фруктов, одежды или других предметов быта.
К основным факторам, формирующим спрос относят:
- Наличие потребностей в товарах и услугах;
- Наличие денег для покупки (удовлетворения) потребности.
- Приемлемая цена товара (услуги);
- Достаточный уровень предложений товара;
- Количество покупателей;
- Доходы потребителей.
Индивидуальный спрос и его определение
Определение индивидуального спроса включает несколько основных элементов:
| 1. | Потребитель | — отдельное лицо, которое рассматривается в качестве объекта анализа. Это может быть как физическое лицо, так и представитель фирмы или организации. |
| 2. | Количество товара или услуги | — количество единиц товара или услуги, которое потребителя готов купить. |
| 3. | Цена | — стоимость единицы товара или услуги, по которой потребитель готов приобрести товар. |
| 4. | Рынок | — конкретное место и время, где происходит обмен товара или услуги. |
| 5. | Период времени | — определенный промежуток времени, в течение которого рассматривается спрос на товар или услугу. |
Индивидуальный спрос является основой для формирования рыночного спроса, который представляет собой сумму индивидуальных спросов всех потребителей на данном рынке.
Закон спроса в экономике
Такие понятия как спрос, предложение, цена – являются базовыми в экономике, потому что они считаются наиглавнейшими элементами во взаимодействии всех участников рынка. Когда у граждан имеются средства, то уровень покупательской способности растет. На рынке появляется большое количество денег, а значит меняются нужды людей. Производитель реагирует на это выпуском большего количества продукции. Именно поэтому рост доходов людей напрямую влияет на экономические показатели спроса и предложения.
Рыночный механизм подразумевает под собой реализацию процесса установления цены, грамотного распределения ресурсов, а также взаимодействия участников экономической деятельности. Все это необходимо для рационального выпуска продукции и ее продажи.
Главные экономические рыночные механизмы показаны на рисунке:
Механизмы рыночной экономики проявляются в множестве экономических законов. Наиболее важными являются законы спроса и предложения. Их необходимо знать, потому что они считаются базовыми и отражают соотношение между ценой, а также влияние на нее поведения потребителя и производителя.
Величина спроса – это основной параметр рыночной экономики, потому что непосредственное влияние на него оказывают нужды населения. Если у граждан нет никаких нужд, это вызывает недостаток спроса и предложения. Ведь бизнесмены не будут выпускать товары, если они не нужны потребителю.
Также учитывается и то, что изменение величины спроса происходит из-за цены и количества продукции. Чем дороже стоит товар, тем меньшее количество людей хотят его купить. В этом суть экономического закона спроса, известный уже много лет, он описывает модель, по которой работает рынок.
На простом языке: нуждаемость в продукции зависит только от стоимости и ее количества. Это базовое правило, которое учитывается не только экономистами, но и маркетологами для привлечения покупателей и разработке различных механизмов для повышения количества проданной продукции.
Сущность закона спроса объясняется условиями рыночного механизма:
- Ограниченный выпуск продукции;
- Цена товара всегда ограничена покупательской способностью людей.
Ценой спроса на рынке экономисты называют стоимость, по которой реализуется продукция, способная обеспечить ее покупаемость (т.е. привлечь покупателей). Ее уровень определяется тем, насколько полезен конкретный товар
Производителю и продавцу важно определить цену спроса, ведь это самая высокая стоимость, по которой потребитель будет приобретать услуги или товары. Торговая фирма не может установить цену на выпускаемые товары выше, чем величина и цена спроса, ведь тогда ее просто не будут покупать
Причиной этого является отсутствие денег на покупку.
В экономике важно изучать не только величину спроса, но и величину предложения, т.е. количество благ, которые поступают на рынки для того, чтобы удовлетворить нужды населения
Механизм рыночного предложения заключается в том, что производитель устанавливает такую цену, которая выгодна для него. Главным сигналом для увеличения производства продукции является рост цены на нее.
Словарь
1. Маркетинг – это деятельность, направленная на получение прибыли, для этого удовлетворяются потребностей людей. Она заключается в умении продать продукцию или услуги целевой аудитории. Для этого применяются различные маркетинговые ходы: рекламные акции, скидки, подарочные карты и т.д.
2. Реальный ВВП – это стоимость всех конечных товаров и услуг, которые были произведены в государстве за определенный период времени (год).
3. Налог на доходы физических лиц (НДФЛ) – налог, который взимается с заработной платы работника, составляет 13%. Например, заработная плата 10000 рублей: 10000·13:100%=1300 рублей – сумма налога, 10000 – 1300= 8700 рублей – зарплата, которую работник получит после вычета налога.
Пример плана статьи о различиях между индивидуальным и рыночным спросом
Введение
Здесь мы рассмотрим основные отличия между индивидуальным и рыночным спросом. Мы объясним, что такое индивидуальный и рыночный спрос, и почему эти понятия важны для изучения экономики.
Определение и характеристики
В этом разделе мы подробнее разберем, что представляет собой индивидуальный спрос и какие факторы влияют на его формирование. Мы также рассмотрим, какие факторы влияют на рыночный спрос и как он отличается от индивидуального спроса.
Факторы, влияющие на индивидуальный спрос
Здесь мы обсудим основные факторы, определяющие индивидуальный спрос. Это включает в себя доход, цены на товары, предпочтения потребителей, ожидания и другие факторы. Мы объясним, как эти факторы влияют на спрос и почему они могут изменяться.
Факторы, влияющие на рыночный спрос
В этом разделе мы рассмотрим факторы, которые влияют на рыночный спрос. Мы обсудим роль рыночных цен, доходов населения, покупательской способности, рыночных тенденций и других факторов. Мы также рассмотрим, как спрос может быть прогнозируемым или непрогнозируемым на рынке.
В данном разделе мы подведем итоги и обобщим основные отличия между индивидуальным и рыночным спросом
Мы подчеркнем важность понимания этих различий и применения этого знания при анализе поведения потребителей и рынков
Рыночный спрос: понятие и особенности
В отличие от индивидуального спроса, который характеризуется потреблением конкретного потребителя по его индивидуальным предпочтениям и возможностям, рыночный спрос является агрегированным показателем, отражающим общую потребность всех участников рынка.
Рыночный спрос оказывает существенное влияние на формирование цен на товары и услуги, а также на изменение объема производства и предложения на рынке. Повышение рыночного спроса может привести к росту производства и увеличению предложения товаров, тогда как его снижение может вызвать сокращение производства и уменьшение предложения.
Примером рыночного спроса может служить ситуация, когда на рынке автомобилей все потребители, имеющие достаточную покупательскую способность и интересующиеся приобретением автомобиля, выражают свой индивидуальный спрос. Путем суммирования всех этих индивидуальных спросов можно получить общий рыночный спрос на автомобили в данном регионе или стране. Величина рыночного спроса будет зависеть от цены автомобилей, доходов потребителей, наличия альтернативных товаров и других факторов.
Рыночная предложение
Определение рыночной предложения
Предложение товара или услуги – это количество товара или услуги, предлагается к продаже по определенной цене (в экономической литературе рыночное предложение сказывается S
– от англ. Supply). Связь между ценой и предложением прямой: при более высоких ценах растет предложение товаров и услуг, и наоборот. Например, крестьянин, выращивает кукурузу, овес и рожь, производить больше кукурузы и меньше овса и ржи, если цена на кукурузу будет расти.
Гипотетическая кривая предложения кукурузы на рис. 5.2 (она составлена по данным таблицы 5.2) иллюстрирует прямую зависимость между ценой и предложением, а именно – высокие цены ведут к росту предложения товара, а низкие – к ее снижению.
Таблица 5.2
ПРЕДЛОЖЕНИЕ кукурузы
Детерминанты предложения
На количество товаров и услуг, предлагаемых по определенным ценам, могут влиять такие детерминанты (факторы).
1. На сопутствующие товары.
Фирмы должны оценивать альтернативные издержки производства одного товара по сравнению с другими. Как и производственные возможности общества, производственные ресурсы фирмы ограничены, поэтому надо всегда выбирать, что именно производить. Такой выбор зависит от относительных цен на товары. Например, если относительная цена ржи по сравнению с кукурузой снизится, то фермер засеет больше земель именно кукурузой. Если ожидается падение цен на автомобили в этом году и рост в следующем, то производитель может отложить производство автомобилей до следующего года.
3. Изменения в технологиях.
Издержки производства определяются ценами на ресурсы и эффективностью их использования. Эта эффективность зависит от уровня технологии, научных и технических знаний, которые применяются в процессе производства товаров и услуг. Передовой технологии с того же количества ресурсов можно произвести больше продукции, чем при использовании отсталых технологий. Издержки производства при этом уменьшаются, и фирмы готовы предложить большее количество товаров и услуг по тем же ценам, что и раньше. Так, производители автомобилей не были в состоянии предложить большее количество их, пока Генри Форд не применил технологии серийного производства.
4. Количество продавцов.
С увеличением количества продавцов, которые вышли на рынок, увеличивается количество товаров и услуг, предлагаемых покупателю по той же цене, что и раньше.
Различие между индивидуальным и рыночным спросом
- Индивидуальный спрос описывает потребительское поведение отдельного человека или группы людей, которые имеют схожие потребности и предпочтения. Этот спрос основан на индивидуальных характеристиках и возможностях потребителя, таких как его доход, предпочтения, цены и доступность товаров и услуг.
- Рыночный спрос, с другой стороны, представляет собой совокупный спрос всех потребителей на рынке. Он определяется как сумма индивидуальных спросов всех потребителей на товар или услугу.
Одно из ключевых различий между индивидуальным и рыночным спросом заключается в том, что индивидуальный спрос является более конкретным и локальным, в то время как рыночный спрос является более абстрактным и общим понятием. Индивидуальный спрос направлен на удовлетворение конкретных потребностей и предпочтений отдельного потребителя, в то время как рыночный спрос представляет собой совокупный спрос всех потребителей, учитывая их разные предпочтения и возможности.
Другое важное различие заключается в том, что индивидуальный спрос может быть изменен отдельным потребителем путем изменения его индивидуальных факторов, таких как цены, доход и предпочтения. В то же время, рыночный спрос, как совокупный спрос всех потребителей на рынке, может изменяться только изменением общих условий рынка, таких как изменение цен на товары и услуги или изменение доходов у большого количества потребителей
Таким образом, понимание различий между индивидуальным и рыночным спросом помогает лучше понять, как потребители принимают решения о покупках и как эти решения влияют на спрос на рынке в целом.
Персональный и рыночный интерес. Факторы спроса
Любой рынок представляет сферу взаимного действия предложения спроса. Совокупность потребителей на рынке создает интерес на товары, которые способны удовлетворить потребительские потребности.
Поэтому, основой формирования спроса являются регулярно возрастающие потребности, для удовлетворения которых нужны довольно разные услуги и товары. Однако для удовлетворения потребностей одного желания потребить тот или другой товар мало.
За товары нужно платить.
Способность людей приобретать на рынке материальные блага и услуги называется платежеспособным спросом. Мы будем анализировать именно такую потребность.
Интерес — платежеспособная необходимость человека, т. е. необходимость, подкрепленная деньгами; интерес показывает, какие количества этого товара хочет и способен приполучить покупатель по каждой потенциальной цене в каждый данный момент времени.
Экономисты моделируют интерес, т. е. представляют его в виде модели.
Интерес рассматривается как функция большинства переменных, основная из них — рыночная стоимость товара.
Общеизвестно, что кол-во купленных товаров зависит от их цены. Чем выше стоимость товара, тем меньшее его кол-во люди хотят приобрести, и наоборот, чем меньше стоимость, тем больше объем спроса на него.
Аналогичную зависимость экономисты называют законом спроса.
Закон спроса — при прочих равных условиях, чем меньше стоимость, тем больше величина спроса, и наоборот, чем больше стоимость, тем величина спроса меньше. Таким образом, между стоимостью и величиной спроса есть обратная зависимость.
Связь между стоимостью и объемом спроса на любой товар можно проиллюстрировать при помощи кривой спроса. Кривая спроса — графическое выражение зависимости между стоимостью товара и величиной спроса, предъявляемого покупателями на данный товар.
Кривая спроса (D) считается нисходящей, убывающей. Аналогичное «поведение» кривой отражает действие закона спроса, потому как график показывает обратную зависимость между стоимостью товара X (Рх) и величиной спроса на данный товар (Qx). На рисунке ниже резкое снижение цены с Р1 до Р2 ведет к росту объема спроса с Q1 до Q2.
До этого времени мы разглядывали проблематику с позиции одного единственного потребителя. Но в реальной реальности интерес на любой гипотетически возможный товар X предъявляют не один, а несколько потребителей.
Поэтому появляется необходимость определения 2-ух новых понятий — «персональный интерес» и «интерес рыночный». Персональный интерес — интерес, предъявляемый индивидуальным покупателем (конкретно данный интерес мы разглядывали выше).
Рыночный интерес — совокупность индивидуальных спросов. Дабы получить величину рыночного спроса, нужно просуммировать опросы индивидуальные.
Переход от индивидуального спроса к рыночному спросу выполняется при помощи суммирования величин спроса, предъявляемого каждым индивидуальным потребителем при каждой потенциальной цене. А графически рыночный интерес определяется путем горизонтального суммирования графиков индивидуального спроса.
Что представляет собой индивидуальный спрос
Спрос одного человека или какой-либо компании, принято называть индивидуальным спросом, представляющим собой потребность в приобретении небольшого количества товара для личных нужд. Индивидуальный спрос зависит от желаний человека и количества продуктов, которые он может себе позволить по определенной цене. Он предполагает две вещи: во-первых, человек предпочел бы иметь больше, чем меньше, и, во-вторых, его пристрастия или предпочтения постоянны во времени.
Давайте рассмотрим примеры индивидуального спроса:
- Человек приобретает в зимний период времени шубу для личного ношения.
- Компания периодически заказывает для работы сотрудникам офисную бумагу.
Факты об индивидуальном спросе
Под индивидуальным принято понимать спрос, формируемый отдельно взятым потребителем. Он определяется исходя из объема товаров, в приобретении которых человек нуждается.
Динамика и структура индивидуального спроса зависят от покупательной способности потребителя. Если у гражданина имеется внушительное количество свободных денежных средств, то он, скорее всего, сможет позволить себе приобретать товары в большем разнообразии, лучшем качестве и на регулярной основе. Но нередко наблюдается и обратная ситуация – человек концентрируется на приобретении дорогих товаров, представленных в 1-2 категориях (например, это могут быть мобильные гаджеты престижных брендов), вследствие чего перечень иных видов покупаемой продукции существенно сокращается.




























